@Olmar_ciencias

257 Publicaciones

12.78k Interacciones

24 Seguidores

1 Siguiendo

Lista de publicaciones de Olmar_ciencias

ejercicios

-

Hojas resueltas

He publicado nuevos ejercicios de 3º Ecuaciones en Derivadas Parciales: Hojas resueltas

EDP-Hoja4.pdf
EDP-Hoja3.pdf
EDP-Hoja2.pdf
EDP-Hoja1.pdf

apuntes

-

Apuntes EDP

He publicado nuevos apuntes de 3º Ecuaciones en Derivadas Parciales: Apuntes EDP

Tema4-EDP.pdf
Tema2-3-EDP.pdf
Tema1-EDP.pdf

apuntes

-

Resúmenes EDP

He publicado nuevos apuntes de 3º Ecuaciones en Derivadas Parciales: Resúmenes EDP

T4-EDP.pdf
T3-EDP.pdf
T2-EDP.pdf
T1-EDP.pdf

ejercicios

-

Hojas resueltas y ejercicios tipo examen resueltos

He publicado nuevos ejercicios de 3º Geometria Diferencial: Hojas resueltas y ejercicios tipo examen resueltos

Hoja6-GEODIF.pdf
Hoja4-GEODIF.pdf
Hoja5-GEODIF.pdf
Hoja2-GEODIF.pdf
Hoja3-GEODIF.pdf
Hoja1-GEODIF.pdf

apuntes

-

Apuntes_GEODIF

He publicado nuevos apuntes de 3º Geometria Diferencial: Apuntes_GEODIF

ApuntesFinalGEODIF.pdf
ApuntesP2GEODIF.pdf
Tema1-GEODIF.pdf

He publicado nuevos examenes de 3º Geometria Diferencial: Ex-31-mayo-2024-Soluciones.pdf

5 páginas

He publicado nuevos examenes de 3º Ecuaciones en Derivadas Parciales: EDP-2023-24-Parcial2-SOL.pdf

3 páginas

He publicado nuevos examenes de 3º Geometria Diferencial: Ex-11-mar-2024-soluciones-v2.pdf

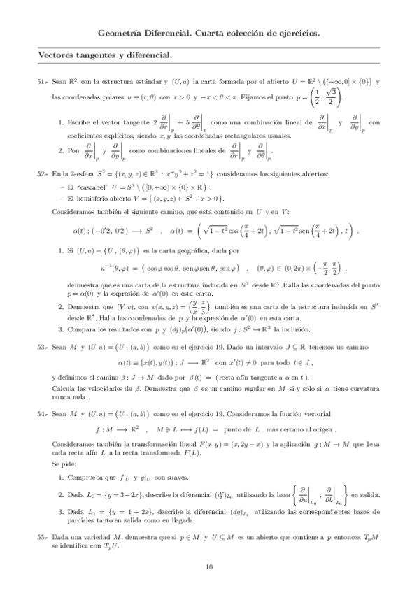
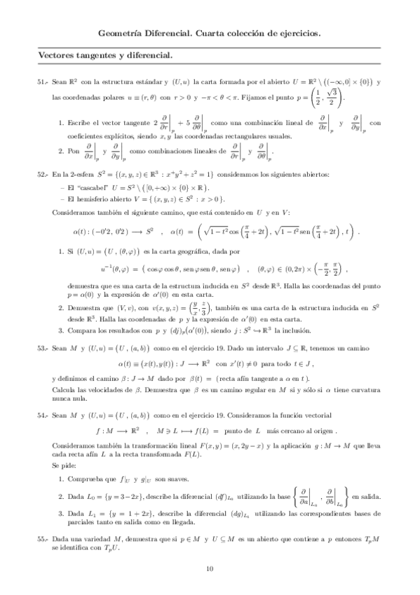
pdf

examenes

-

Exámenes con soluciones MNEDO

He publicado nuevos examenes de 3º Métodos Numéricos para EDO: Exámenes con soluciones MNEDO

nov2023R.pdf
nov2023.pdf
nov2021.pdf

ejercicios

-

Entregas

He publicado nuevos ejercicios de 3º Métodos Numéricos para EDO: Entregas

Entrega2.pdf
Entrega1.pdf

ejercicios

-

Ejercicios Resueltos MNEDO

He publicado nuevos ejercicios de 3º Métodos Numéricos para EDO: Ejercicios Resueltos MNEDO

MNEDO-Hoja7.pdf
MNEDO-Hoja6.pdf
MNEDO-Hoja5.pdf
MNEDO-Hoja4.pdf
MNEDO-Hoja3.pdf
MNEDO-Hoja2.pdf

apuntes

-

Apuntes de clase MNEDO 2023

He publicado nuevos apuntes de 3º Métodos Numéricos para EDO: Apuntes de clase MNEDO 2023

Tema7-MNEDO.pdf
Tema6-MNEDO.pdf
Tema6-MNEDO.pdf
Tema5-MNEDO.pdf
Tema4-MNEDO.pdf
Tema3-MNEDO.pdf