@OxidoDeNiquel

36 Publicaciones

865 Interacciones

9 Seguidores

0 Siguiendo

Lista de publicaciones de OxidoDeNiquel

Temario del tema 1 dado en clase.

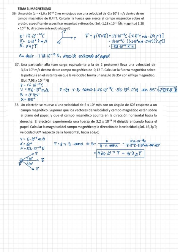
5 páginas

ejercicios

-

Cuestionarios

Esta carpeta contiene algunas de las preguntas de los cuestionarios 0-4 realizados a lo largo de la asignatura.

c4oxniq.pdf
c3oxniq.pdf
c2oxniq.pdf
c1oxniq.pdf
c0oxniq.pdf

practicas

-

Practicas Mates 1

Practicas de la asignatura Matematicas 1. Hechas con SageMath. Todas con nota de 10.

Miniatura no disponible
p1oxniq.ipynb
Miniatura no disponible
p5oxniq.ipynb
Miniatura no disponible
p4oxniq.ipynb
Miniatura no disponible
p3oxniq.ipynb
Miniatura no disponible
p2oxniq.ipynb

practicas

-

Practicas Mates 2

Esta carpeta contiene las 6 prácticas de la asignatura y su correspondiente archivo mis_funciones. Todo hecho con SageMath.

Miniatura no disponible
p12526oxniq.ipynb
Miniatura no disponible
misfunciones.ipynb
Miniatura no disponible
p62526oxniq.ipynb
Miniatura no disponible
p52526oxniq.ipynb
Miniatura no disponible
p42526oxniq.ipynb
Miniatura no disponible
p32526oxniq.ipynb

He publicado nuevos apuntes de 1º Matemáticas 2: T6-Espacios-Euclideos.pdf

6 páginas

He publicado nuevos ejercicios de 1º Matemáticas 2: ProblemasSesion82526.pdf

7 páginas

He publicado nuevos ejercicios de 1º Matemáticas 2: ProblemasSesion72526.pdf

7 páginas

He publicado nuevos apuntes de 1º Matemáticas 2: T5-Endomorfismos.pdf

5 páginas

Ejercicios sesión de problemas 6 con sus respectivas cuestiones y problemas. El ejercicio 6 puede contener erratas ya que no nos dio tiempo a corregirlo.

6 páginas

Ejercicios sesión de problemas 5 con sus respectivas cuestiones y problemas.

5 páginas

Ejercicios sesión de problemas 4 con sus respectivas cuestiones y problemas.

7 páginas

Este documento contiene el temario de aplicaciones lineales con sus respectivos ejemplos.

6 páginas

Tema 3 - Espacios Vectoriales Este archivo contiene la teoría y distintos ejemplos dados en clase. Contenidos: - Espacio Vectorial - Subespacio Vectorial - Subespacio Intersección - Unión de subespacios vectoriales - Combinación lineal - Base de un espaci

11 páginas

Este archivo contiene el Tema 2 de la asignatura de Matemáticas II

16 páginas

Este archivo contiene el Tema 1 de la asignatura de Matemáticas II. Dentro de los apuntes, hay un ejercicio de factorización LU incorrecto, corregido en ROJO con el resultado correcto.

24 páginas

Tema 2 - Sucesiones y series

12 páginas

Tema 1. Aritmética con números reales y complejos

12 páginas

Este resumen contiene los temas 6, 7, 8 y 9

18 páginas

La aplicación de Muebles desarrollada en C# con Windows Forms es un proyecto destacado de Desarrollo de Interfaces. Con funcionalidades CRUD diferenciadas para administradores y clientes, permite gestionar eficientemente una colección de muebles.

1 página

He publicado nuevos trabajos de Programación de servicios y procesos: Turbochat-Proyecto-PSP.pdf

2 páginas