@PabDGar

Estudios: Grado en Física (US) ...Mostrar más

9 Publicaciones

188 Interacciones

0 Seguidores

0 Siguiendo

Lista de publicaciones de PabDGar

apuntes

-

TEORÍA 1er. CUATRI

He publicado nuevos apuntes de 3º Física Cuántica: TEORÍA 1er. CUATRI

TEMA-6SOLUCIONES-DE-LA-ECUACION-DE-SCHRODINGER.pdf
TEMA-5PRINCIPIO-DE-INCERTIDUMBRE.pdf
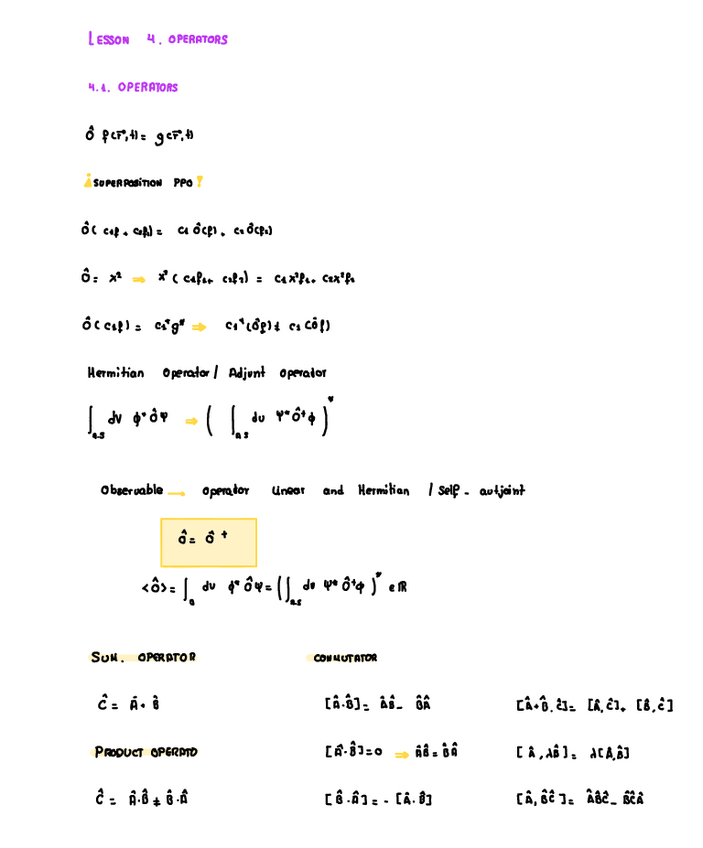
TEMA-4OPERADORES.pdf
TEMA-3INTERPRETACION-DE-LAS-ONDAS-EN-LA-MATERIA.pdf
TEMA-2DUALIDAD-ONDA-CORPUSPULO.pdf
TEMA-1LEYES-DE-RADIACION.pdf

He publicado nuevos examenes de 2º Métodos Matemáticos II: EXAMENES(VARIADO DE EJERCICIOS).pdf

25 páginas

He publicado nuevos ejercicios de 2º Métodos Matemáticos II: BOLETINESEJERCICIOS-DE-VARIOS-BOLETINES.pdf

57 páginas

He publicado nuevos ejercicios de 3º Física Matemática: BOLETIN ASIGNATURA COMPLETA(FISICA MATEMÁTICA-2024/25).pdf

91 páginas