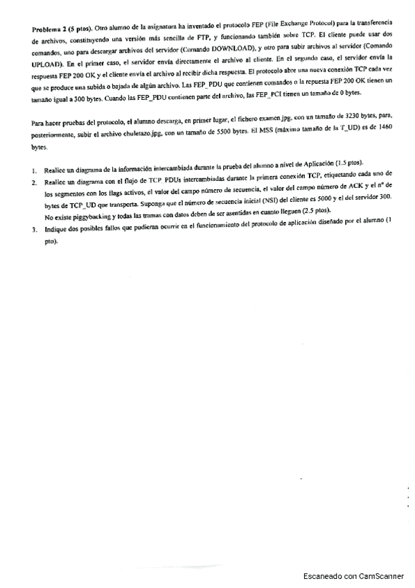
@Pableras_

60 Publicaciones

1.43k Interacciones

4 Seguidores

0 Siguiendo

Lista de publicaciones de Pableras_

He publicado nuevos apuntes de 3º Sistemas Inteligentes: Apuntes-1o-Parcial-SI.pdf

9 páginas

ejercicios

-

Ejercicios Resueltos 1º Parcial SI

He publicado nuevos ejercicios de 3º Sistemas Inteligentes: Ejercicios Resueltos 1º Parcial SI

Ejercicios-Tema-1-2-3-SI.pdf
Ejercicios-Tema-4-5-SI.pdf

ejercicios

-

Boletines Tema 1,2,3 AC RESUELTOS

He publicado nuevos ejercicios de 2º Arquitectura de Computadores: Boletines Tema 1,2,3 AC RESUELTOS

Boletin-Tema-2-AC-Parte-2.pdf.pdf
Boletin-Tema-1-AC-Parte-2.pdf
Boletin-Tema-1-AC-Parte-1.pdf
BOLETIN-TEMA-2-AC-Parte-1.pdf

examenes

-

Primeros Parciales Resueltos

He publicado nuevos examenes de 3º Ampliación de Inteligencia Artificial: Primeros Parciales Resueltos

1Parcial-2024-2025.pdf
1Parcial-2023-2024.pdf
1Parcial-2022-2023.pdf

apuntes

-

Apuntes 1º Parcial

He publicado nuevos apuntes de 3º Ampliación de Inteligencia Artificial: Apuntes 1º Parcial

Apuntes-Sklearn.pdf
Apuntes-Tema-3.pdf
Apuntes-Tema-2.pdf
Tema-1-Numpy-y-Panda.pdf

ejercicios

-

Boletines 1º Parcial

He publicado nuevos ejercicios de 3º Ampliación de Inteligencia Artificial: Boletines 1º Parcial

Boletin-Modelos-Supervisados.pdf
Preprocesado-ajuste-y-evaluacion-de-modelos.pdf

Apuntes de preguntas típicas de CIMSI para el examen teórico

10 páginas

Apuntes de todo el temario de TAI

20 páginas

apuntes

-

Apuntes MASI con Problemas

He publicado nuevos apuntes de 3º Matemática Aplicada a Sistemas de Información: Apuntes MASI con Problemas

Apuntes-MASI-1-Parcial (Tema-1-2).pdf.pdf
Apuntes-MASI-1-Parcial-Tema-3.pdf

He publicado nuevos apuntes de 3º Sistemas de Información Empresariales: APUNTES-1o-PARCIAL-BONITA-PREGUNTAS-RESUELTAS.pdf

11 páginas

He publicado nuevos apuntes de 3º Arquitectura de Sistemas Distribuidos: Apuntes-ASD-1-PARCIAL.pdf

11 páginas

He publicado nuevos examenes de 2º Arquitectura de Redes: 1-Parcial-AR-24-25-Grupo-2-RESUELTO.pdf

5 páginas

examenes

-

Exámenes de Laboratorio IISSI 2

He publicado nuevos examenes de 2º Introducción a la Ingeniería del Software y los Sistemas de Información II: Exámenes de Laboratorio IISSI 2

Miniatura no disponible
Simulacro-2024-2025.rar
Miniatura no disponible
ExamenEquiposSOLUCION.rar
Miniatura no disponible
ExamenLibrosSOLUCION.rar
Miniatura no disponible
ExamenPeliculas-SOLUCION.rar
Miniatura no disponible
Proyecto-Examen-Lab-PruebaProjects-SOLUCION.rar

apuntes

-

Teoría IISSI 2

He publicado nuevos apuntes de 2º Introducción a la Ingeniería del Software y los Sistemas de Información II: Teoría IISSI 2

Tema-8.pdf
Tema-9.pdf
Tema-10.pdf
Tema-11-Eventos-y-Formularios-JS.pdf
Tema-1.pdf
Tema-2.pdf

He publicado nuevos ejercicios de 2º Sistemas Operativos: Boletin-2-SO-RESUELTO.pdf.pdf

4 páginas

He publicado nuevos apuntes de 3º Matemática Aplicada a Sistemas de Información: PRACTICA 1 MASI RESUELTA.pdf

2 páginas

He publicado nuevos apuntes de 2º Arquitectura de Computadores: Apuntes-para-examen-TEMA-1-AC.pdf

8 páginas

Cuestiones Resueltas del boletín del tema 1

5 páginas

He publicado nuevos examenes de 2º Arquitectura de Redes: 1o-Parcial-Resuelto-AR-Grupo-1-24-25.pdf

5 páginas