@Pablo__16

280 Publicaciones

6.49k Interacciones

10 Seguidores

1 Siguiendo

Lista de publicaciones de Pablo__16

He publicado nuevos apuntes de 4º Creación de Empresas: Apuntes-clase-creacion-empresas.pdf

8 páginas

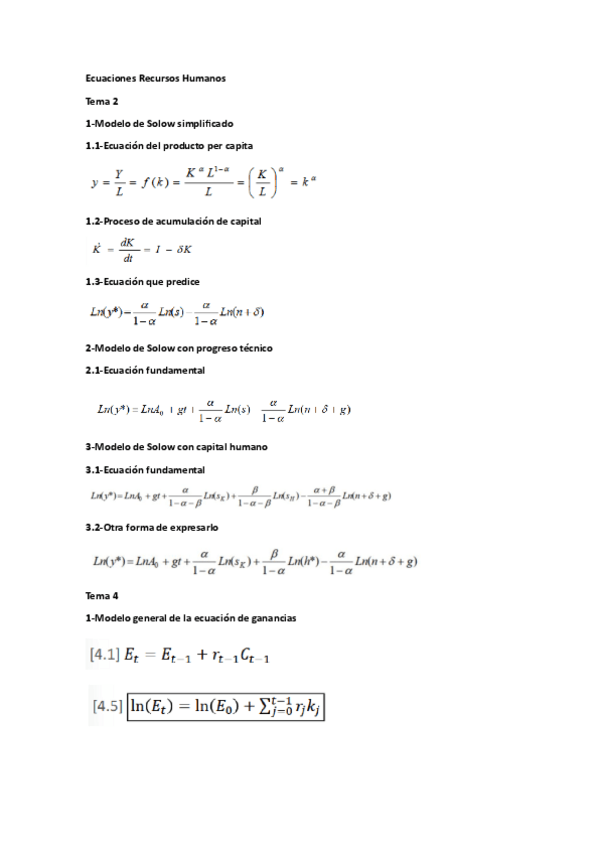
He publicado nuevos apuntes de 4º Economía de los Recursos Humanos: Ecuaciones-Recursos-Humanos.pdf

2 páginas

He publicado nuevos examenes de 4º Economía de los Recursos Humanos: Preguntas-examen-RRHH.pdf

2 páginas

He publicado nuevos apuntes de 4º Economía de los Recursos Humanos: Apuntes-clase-Eco-RR-HH.pdf

18 páginas

He publicado nuevos apuntes de 4º Economía de los Recursos Humanos: Tema-7-RR-HH.pdf

13 páginas

He publicado nuevos apuntes de 4º Economía de los Recursos Humanos: Tema-6-RR-HH.pdf

15 páginas

He publicado nuevos apuntes de 4º Hacienda Pública Territorial: Apuntes-Clase-HPT.pdf

14 páginas

He publicado nuevos test de 4º Creación de Empresas: Preguntas-segundo-parcial-Creacion-Empresas.pdf

7 páginas

He publicado nuevos apuntes de 4º Administración de las Organizaciones: Tema-8-y-9-Admin.pdf

7 páginas

He publicado nuevos apuntes de 4º Creación de Empresas: Tema-7-Creacion.pdf

10 páginas

He publicado nuevos test de 4º Creación de Empresas: Tipo-test-2o-parcial-CE.pdf

8 páginas

He publicado nuevos test de 4º Creación de Empresas: Bateria-preguntas2-1o-parcial-CE.pdf

14 páginas

He publicado nuevos apuntes de 4º Economía de los Recursos Humanos: Tema-5-RRHH.pdf

11 páginas

He publicado nuevos apuntes de 4º Administración de las Organizaciones: Tema-7-Administracion.pdf

7 páginas

He publicado nuevos apuntes de 4º Administración de las Organizaciones: Tema-6-Admin.pdf

7 páginas

He publicado nuevos apuntes de 4º Creación de Empresas: Tema-6-Creacion.pdf

10 páginas

He publicado nuevos apuntes de 4º Administración de las Organizaciones: Tema-4-Administracion.pdf

11 páginas

He publicado nuevos apuntes de 4º Creación de Empresas: Tema-5-Creacion.pdf

11 páginas

He publicado nuevos apuntes de 4º Creación de Empresas: Tema-4-Creacion.pdf

23 páginas

He publicado nuevos apuntes de 4º Administración de las Organizaciones: Tema-5-Administracion.pdf

11 páginas