@pabmegu

517 Publicaciones

22.95k Interacciones

14 Seguidores

0 Siguiendo

Lista de publicaciones de pabmegu

He publicado nuevos apuntes de 4º Gestión y Planificación Farmacéuticas: Examen-Gestion.pdf

8 páginas

apuntes

-

Temario completo castellano

He publicado nuevos apuntes de 4º Legislacion y Deontologia Farmacéutica: Temario completo castellano

indice.pdf
Tema-6.pdf
Tema-3.pdf
Tema-4-5-medicamento.pdf
Tema-2.pdf
Tema-1.pdf

apuntes

-

Temario completo castellano

He publicado nuevos apuntes de 4º Legislacion y Deontologia Farmacéutica: Temario completo castellano

Tema-7.pdf
Tema-3.pdf
Tema-2.pdf
Tema-6.pdf
Tema-1.pdf
Tema-9.pdf

apuntes

-

Problemas y soluciones

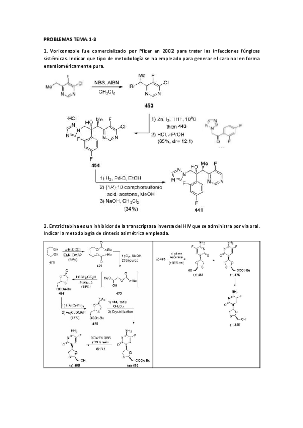
He publicado nuevos apuntes de 5º Nuevas Perspectivas en Diseño y Síntesis de Fármacos: Problemas y soluciones

soluciones-ejercicios.pdf
Soluciones-hoja-3-de-problemas.pdf
Soluciones-de-los-problemas.pdf
Hoja-2.pdf
Problemas-Hoja-1.pdf
Hoja-3.pdf