@Pacheca

29 Publicaciones

1.52k Interacciones

0 Seguidores

0 Siguiendo

Lista de publicaciones de Pacheca

practicas

-

Prácticas Mates avanzadas

He publicado nuevos practicas de 1º Matemáticas Avanzadas: Prácticas Mates avanzadas

Problemas-practica-2.pdf
Parte-2.pdf
Practica-4.pdf

He publicado nuevos test de 1º Introducción a la Economía: Examen-dobe-grado.pdf

7 páginas

ejercicios

-

Ejercicios Introducción economía

He publicado nuevos ejercicios de 1º Introducción a la Economía: Ejercicios Introducción economía

ejercicios-tema-9-10.pdf
ejercicios-tema-10.docx
Ejercicios-tema-8.pdf
ejercicios-temas-3-y-4-introduccion-economia.docx
Ejercicios-tema-5-6-y-7.pdf
Ejercicios-tema-8.docx

He publicado nuevos practicas de 1º Economía de la Empresa: Juana-Sampedro.docx

word

He publicado nuevos ejercicios de 1º Economía de la Empresa: ejercicios-tema-7.pdf

3 páginas

He publicado nuevos ejercicios de 1º Economía de la Empresa: ejercicios-tema-6.pdf

5 páginas

He publicado nuevos ejercicios de 1º Economía de la Empresa: Ejercicios-tema-3.pdf

5 páginas

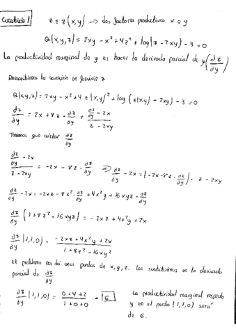
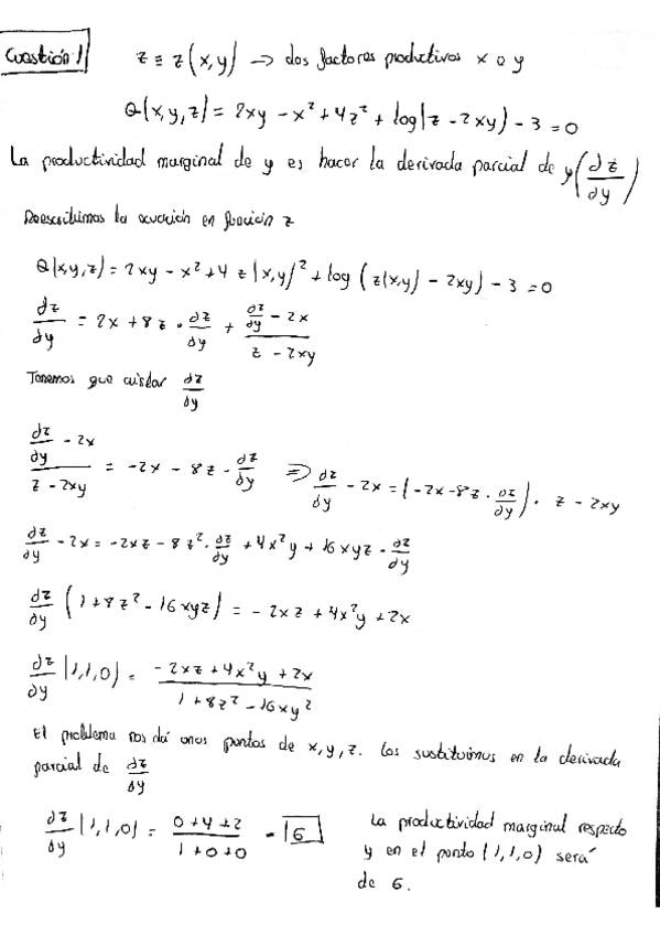
He publicado nuevos ejercicios de 1º Economía de la Empresa: Ejercicios-productividad.pdf

1 página

He publicado nuevos ejercicios de 1º Economía de la Empresa: Ejercicios-practicos-repaso-UR-PMM-APALANCAMIENTO.pdf

7 páginas

He publicado nuevos ejercicios de 1º Economía de la Empresa: Ejer-tema-7.pdf

3 páginas

He publicado nuevos ejercicios de 1º Economía de la Empresa: 15-ejercicios-extra-Umbral-de-rentabilidad.pdf

8 páginas

apuntes

-

Temas Introducción derecho completos

He publicado nuevos apuntes de 1º Introducción al Derecho: Temas Introducción derecho completos

Tema-6-Cosa-bien-y-patrimonio.docx
tema-1-concepto-y-caracteres.docx
tema-4-la-persona-y-el-territorio.docx
tema-3-personalidad-juridica-capacidad-juidica-y-de-obrar.docx
tema-2-Derecho-Civil.docx
Tema-5-Aplicacion-practica-del-derecho.docx

He publicado nuevos ejercicios de 1º Introducción a la Organización de Empresas: ejer-5-practica-7.docx

word

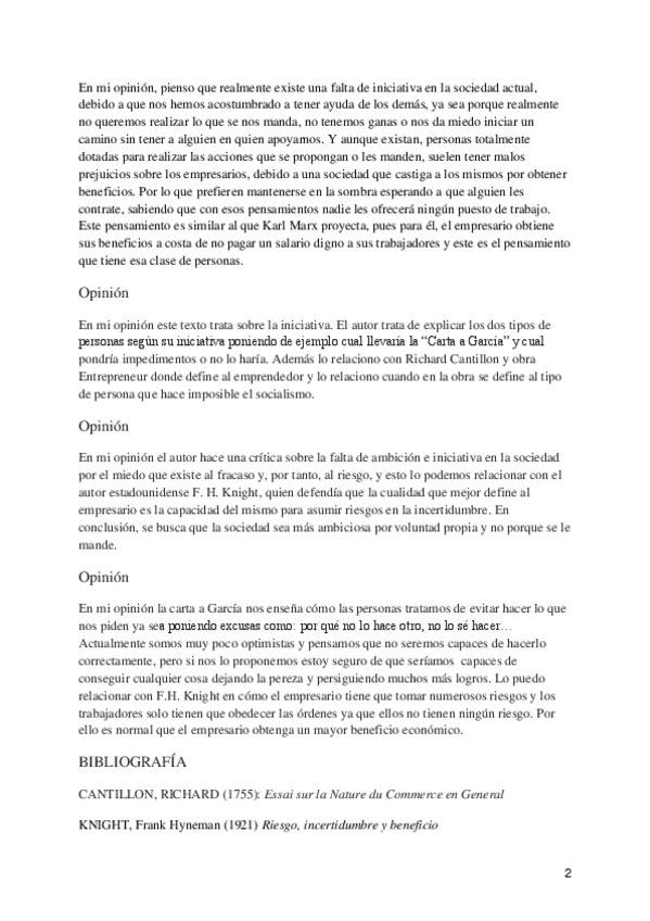
He publicado nuevos practicas de 1º Introducción a la Organización de Empresas: Comentario-de-texto-Carta-a-Garcia.pdf

3 páginas

He publicado nuevos practicas de 1º Introducción a la Organización de Empresas: Comentario-de-texto-Carta-a-Garcia.docx

word