@Paco_

64 Publicaciones

2.29k Interacciones

0 Seguidores

0 Siguiendo

Lista de publicaciones de Paco_

apuntes

-

Apuntes

He publicado nuevos apuntes de 2º Matemáticas III: Apuntes

tema02.pdf
tema03.pdf
tema04.pdf
tema05.pdf
tema06.pdf
tema07.pdf

He publicado nuevos apuntes de 2º Matemáticas III: Páginas desdePARTE I - Ecuaciones-Diferenciales Denis-Zill..pdf

100 páginas

He publicado nuevos apuntes de 2º Matemáticas III: tema01.pdf

16 páginas

apuntes

-

Examenes Resueltos Ii

He publicado nuevos apuntes de 1º Física I: Examenes Resueltos Ii

F1_sept_2013.pdf
final_ene_2011.pdf
final_f1_sept_2011.pdf
final_junio09_v3.pdf
final_sep_2010.pdf
sol_junio0809.pdf

apuntes

-

Temario 7 8 9 10 11

He publicado nuevos apuntes de 1º Química General: Temario 7 8 9 10 11

tema_7.pdf
tema_8_parte1.pdf
tema_8_parte2.pdf
tema_8_parte3.pdf
Tema 10 Aplicaciones inorgánica-2.pdf
Tema 11_Aplicaciones_Organicas(2).pdf

apuntes

-

Examenes Resueltos

He publicado nuevos apuntes de 1º Física I: Examenes Resueltos

1er_parcialito_09_10.pdf
1er_parcialito_2011_2012.pdf
1erparcial_0910_testA.pdf
1erparcialitoFisicaIdic12.pdf
2do_parcialito_1011.pdf
2do_parcialito_2011_2012.pdf

apuntes

-

Amplificadores Apuntes

He publicado nuevos apuntes de 2º Electrónica Industrial: Amplificadores Apuntes

Amplificador operacional.pdf
Amplificadores.pdf
Amplificadores2.pdf

apuntes

-

Temario 1 2 3 4 5 6

He publicado nuevos apuntes de 1º Química General: Temario 1 2 3 4 5 6

tema1.pdf
tema2.pdf
tema3.pdf
tema4_.pdf
tema5_2.pdf
tema6 copia.pdf

He publicado nuevos apuntes de 2º Electrónica Industrial: Unidosbueno.pdf

79 páginas

He publicado nuevos apuntes de 1º Física II: Todos.pdf

81 páginas

apuntes

-

Boletines Resueltos

He publicado nuevos apuntes de 1º Matemáticas II: Boletines Resueltos

Matemáticas II - Boletín 3 sol.pdf
Matemáticas II - Boletín 2.pdf
Matemáticas II - Boletin 4 sol.pdf
Matemáticas II - tema 1 curso 2010-11 (1).pdf
PrimeraPruebaMaIIcurso10-11sol.pdf
SegundaPruebaMaIIcurso10-11 sol0.pdf

He publicado nuevos apuntes de 1º Física II: Todos.pdf

81 páginas

He publicado nuevos apuntes de 1º Física II: Todos.pdf

81 páginas

apuntes

-

Temas

He publicado nuevos apuntes de 1º Empresa: Temas

Miniatura no disponible
Tema_1_TOMA_DE_DECISIONES_MODELOS_CIENTÍFICOS_SISTEMAS_INFORMACION0.ppt
TEMA_2_SISTEMAS_DE_INFORMACION_GERENCIAL_CONTABILDIAD_FINANCIERA.ppt
Tema_3_MODELOS_ANALISIS_INVERSIONES_VF (1).ppt
Tema_4_GESTION_ESTRATEGICA_VF.ppt
Miniatura no disponible
Tema_5_COSTES_PRODUCCION_GESTION_CONTROL_VF.ppt
Tema_6_GESTION_PRODUCCION_INTRODUCCION_VF (3).ppt

He publicado nuevos apuntes de 2º Electrónica Industrial: Unidosbueno.pdf

79 páginas

apuntes

-

Boletines Resueltos

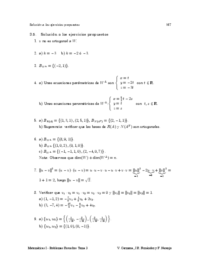
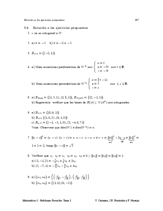
He publicado nuevos apuntes de 1º Matemáticas I: Boletines Resueltos

tema 1.pdf
tema 2.pdf
tema 3.pdf
tema 4.pdf