@Padag

68 Publicaciones

3k Interacciones

1 Seguidores

1 Siguiendo

Lista de publicaciones de Padag

Libro de la bibliografía recomendada.

908 páginas

He subido a Wuolah una recopilación de 26 ejercicios de Termodinámica del año 2017-2018. Están todos los ejercicios de seminarios, mas los ejercicios de junio tanto de la convocatoria normal como de la extraordinaria. Todos los ejercicios están revisados por Enrique. PARTE 1 --> https://www.wuolah.com/apuntes/1029660-f PARTE 2 --> https://www.wuolah.com/apuntes/1029671-f PARTE 3 --> https://www.wuolah.com/apuntes/1029677-f PARTE 4 --> https://www.wuolah.com/apuntes/1029683-f PARTE 5 --> https://www.wuolah.com/apuntes/1029688-f

Acabo de subir a Wuolah una recopilación de 26 ejercicios de Termodinámica del año 2017-2018. Están todos los ejercicios de seminarios, mas los ejercicios de junio tanto de la convocatoria normal como de la extraordinaria. Todos los ejercicios están revisados por Enrique. ************* PARTE 1 --> https://www.wuolah.com/apuntes/1029660-f PARTE 2 --> https://www.wuolah.com/apuntes/1029671-f PARTE 3 --> https://www.wuolah.com/apuntes/1029677-f PARTE 4 --> https://www.wuolah.com/apuntes/1029683-f PARTE 5 --> https://www.wuolah.com/apuntes/1029688-f

apuntes

-

Ejercicios Termodinámica 17-18 corregidos por Enrique [Parte 5]

He publicado nuevos apuntes de 2º Termotecnia: Ejercicios Termodinámica 17-18 corregidos por Enrique [Parte 5]

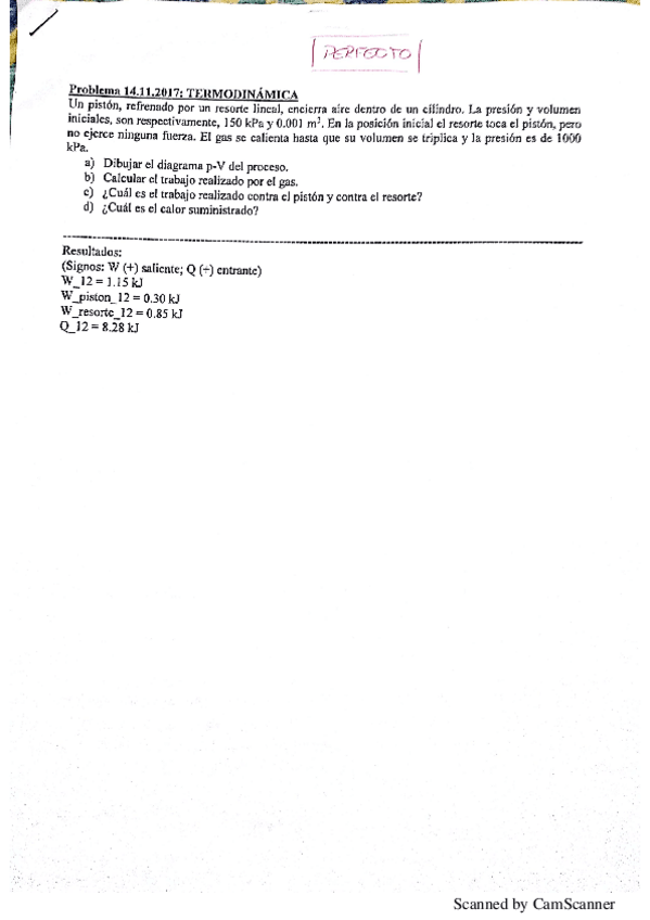
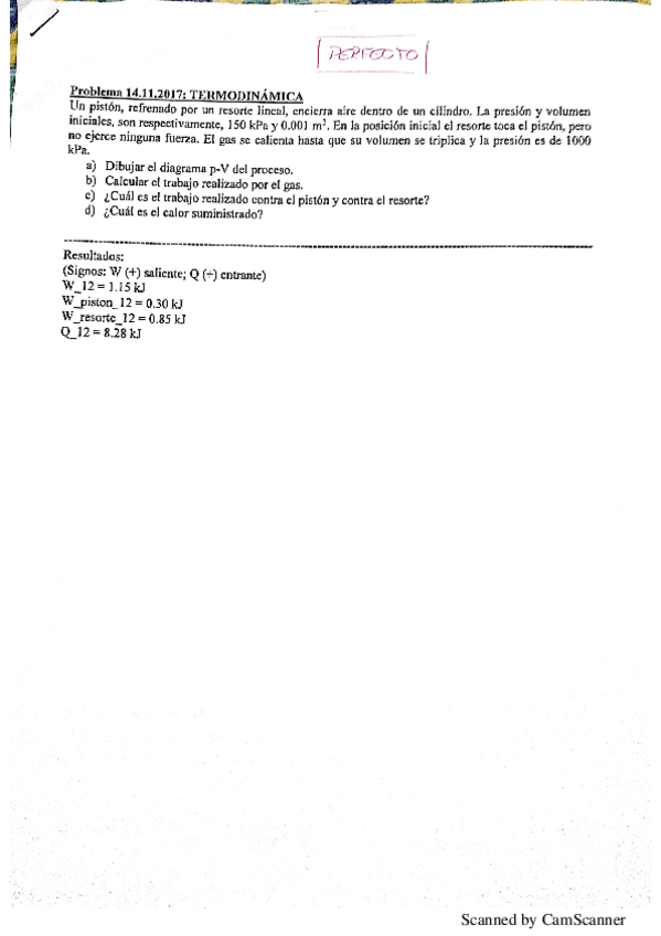
ProcesoPiston.pdf
RecipienteAdiabaticoDividido.pdf
RecipienteFlexible.pdf
RecordSaltoGlobo.pdf
SistemaCilindroEmbolo.pdf
ValvulaTarada.pdf

apuntes

-

Ejercicios Termodinámica 17-18 corregidos por Enrique [Parte 3]

He publicado nuevos apuntes de 2º Termotecnia: Ejercicios Termodinámica 17-18 corregidos por Enrique [Parte 3]

Ejc1Llamamientotermojunio1718.pdf
Ejc1termojunio1718.pdf
Ejc2TermoEspecialJunio1718.pdf
Ejc2termojunio1718.pdf
EjercicioBypass.pdf

apuntes

-

Ejercicios Termodinámica 17-18 corregidos por Enrique [Parte 4]

He publicado nuevos apuntes de 2º Termotecnia: Ejercicios Termodinámica 17-18 corregidos por Enrique [Parte 4]

EnfriamientoEvaporativo.pdf
EnfriamientoEvaporativoIndirecto.pdf
GasPesoMolecular.pdf
PinchazoNeumatico.pdf
ProcesoCiclicoAire.pdf

apuntes

-

Ejercicios Termodinámica 17-18 corregidos por Enrique [Parte 1]

He publicado nuevos apuntes de 2º Termotecnia: Ejercicios Termodinámica 17-18 corregidos por Enrique [Parte 1]

CicloCarnot.pdf
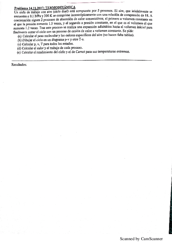
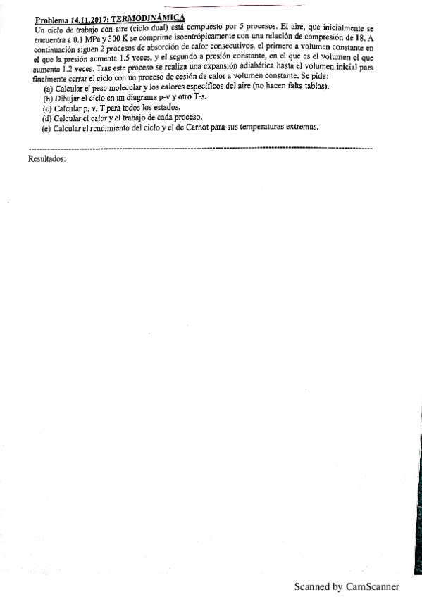
CicloTrabajoConAireDual.pdf
CilindroAdiabaticoSeccion.pdf
CilindroConAire.pdf
CilindroDividido.pdf
Ejc1Llamamientotermojunio1718.pdf

apuntes

-

Ejercicios Termodinámica 17-18 corregidos por Enrique [Parte 2]

He publicado nuevos apuntes de 2º Termotecnia: Ejercicios Termodinámica 17-18 corregidos por Enrique [Parte 2]

CondensadorCentralTermica.pdf
DepositoRigidoEntropia.pdf
DosDepositos.pdf
DosDepositosRigidosYAdiabaticos.pdf
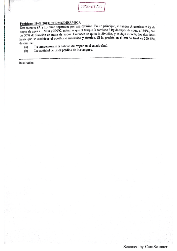
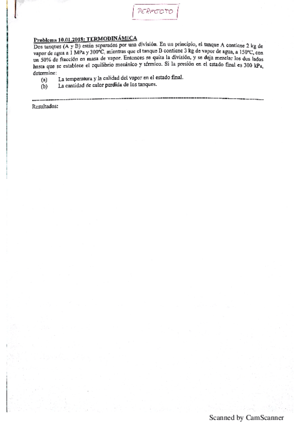
DosTanquesAyB.pdf

He publicado nuevos test de 3º Prevención Industrial de Riesgos: TEST.pdf

40 páginas

trabajos

-

Trabajo monográfico

Trabajo monográfico completo y con buena nota, puedes utilizarlos para tener una guía para realizar el tuyo.

TrabMonograficoP1.pdf
TrabMonograficoP2.pdf

Práctica 2 perfecta

17 páginas

Ejercicios para subir nota, todos realizados y perfectos.

6 páginas

Práctica 6 completa y perfecta

3 páginas

Práctica 4 completa y perfecta

4 páginas

Práctica Metalografía con un 9 de media

11 páginas

Prácticas de la parte de control completas y perfectas.

14 páginas

Práctica de tracción con un 9 de media

7 páginas