@PAPAFRITA_

Estudios: Grado en Educación Primaria (UGR) ...Mostrar más

28 Publicaciones

3.31k Interacciones

4 Seguidores

2 Siguiendo

Lista de publicaciones de PAPAFRITA_

He publicado nuevos apuntes de 1º Prevención y Reducción de Daños Sísmicos: ExamenPrevencion-Riesgos-Sismicos2324.pdf

2 páginas

Apuntes

Alguien puede subir los apuntes y prácticas de esta asignatura? Gracias Mi telegram en @jzslim

He publicado nuevos apuntes de 2º Ciencia de los Materiales: preguntas-examen-organica.pdf

2 páginas

He publicado nuevos apuntes de 2º Ciencia de los Materiales: MATERIALES-TEORIA-TEST.pdf

24 páginas

He publicado nuevos apuntes de 2º Ciencia de los materiales II: CIENCIAS-DE-LOS-MATERIALES-II-EJERCICIOS-RESUELTOS.pdf

54 páginas

He publicado nuevos apuntes de 2º Ciencia de los materiales I: Materiales-TOTALcompressed.pdf

92 páginas

He publicado nuevos apuntes de 4º Resistencia de Materiales y Diseño Mecánico: resistencia-de-materiales.zip

Miniatura no disponible
zip

Apuntes materiales 1

Alguien tiene apuntes de materiales 1 con Amorós, Ingenieri quimica UV Gracias.

He publicado nuevos apuntes de 3º Termotecnia: Examen termotecnia febrero.pdf

1 página

He publicado nuevos apuntes de 2º Mecánica de Fluidos: Apuntes Mecanica de fluidos 2017:2018.pdf

185 páginas

He publicado nuevos ejercicios de 3º Materias Primas Y Recursos Energéticos: mpri4_20171026073341.pdf

5 páginas

He publicado nuevos apuntes de 1º Química Inorgánica: FORMULACION COMPLEJOS.pdf

19 páginas

practicas

-

Scripts

He publicado nuevos practicas de 3º Reactores Químicos: Scripts

RCFP.pdf
RCMP-MULTI.pdf
RCMP.pdf
RDMP-MULTI.pdf
RDMP.pdf
SEMI.pdf

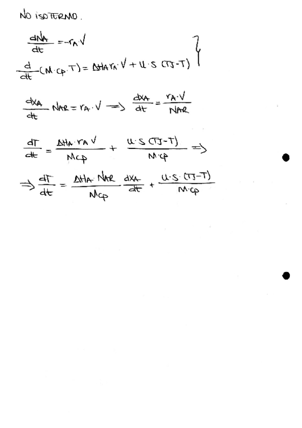
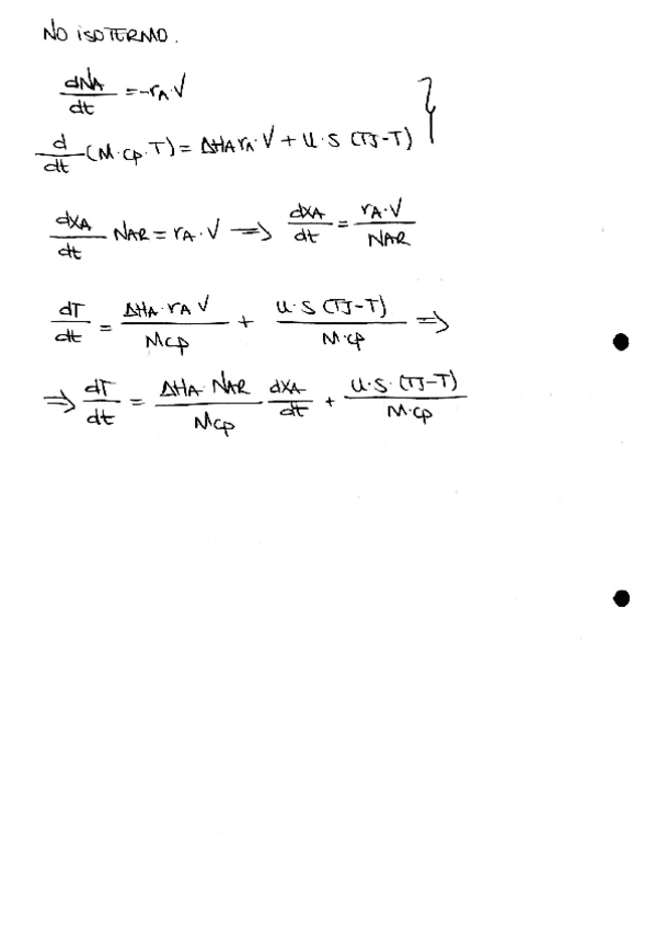
He publicado nuevos apuntes de 3º Reactores Químicos: Resumenes reactores_20170730201349.pdf

31 páginas

Algunas de las definiciones propuestas por los profesores.

3 páginas

He publicado nuevos apuntes de 1º Química Analítica: TEMA 5. volumetrias acido base.pdf

29 páginas

He publicado nuevos apuntes de 1º Química Analítica: TEMA 2. Calculos estadisticos.pdf

7 páginas

He publicado nuevos apuntes de 1º Química Analítica: TEMA 9. REDOx.pdf

17 páginas

He publicado nuevos apuntes de 1º Química Analítica: TEMA 7. PRECIPITACION.pdf

10 páginas