@Par_Prismatico

Bio: Te ayudo a aprobar máquinas y mecanismos, porque aquí el máquina eres tú.

18 Publicaciones

221 Interacciones

3 Seguidores

2 Siguiendo

Lista de publicaciones de Par_Prismatico

Resumen, ejercicios resueltos del PDF y ejercicios de clase de trenes de engranajes. Feliz navidad :)

5 páginas

Ejercicios resueltos de dinámica directa de máquinas y mecanismos.

6 páginas

Apuntes para el examen de esta tarde.

2 páginas

Ejemplo de la segunda tarea de termo resuelta.

2 páginas

examenes

-

Máquinas y mecanismos

He publicado nuevos examenes de 2º Máquinas y Mecanismos: Máquinas y mecanismos

Parcial1-2022-23-Cinematica.jpg
Parcial1-2022-23-Dinamica.jpg
RecuperacionParcial1-2023.jpg

Problema 04 resuelto.

1 página

Problema 01 resuelto.

1 página

Cuestión 4 del primer tema resuelta.

1 página

Cuestión 2 del primer tema resuelta.

1 página

1ª parte del examen final de 2023-2024 resuelto. Creemos que hay un error en PoliformaT, por lo que hemos implementado la solución que nos parece correcta, echadle un ojo.

2 páginas

Primer parcial del curso 2023-2024 resuelto.

2 páginas

Tiene dos errores tontos, pero están corregidos, sirve de guía para estudiar y comprender los pasos. Si tenéis cualquier duda o veis un error, escribidme, voy a estar subiendo más exámenes.

2 páginas

He publicado nuevos apuntes de 2º Matemáticas II: Resolucion-de-EDOs-de-orden-n.pdf

2 páginas

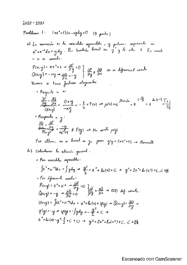
Parcial de noviembre, 2020,2021

4 páginas

He publicado nuevos apuntes de 2º Matemáticas II: Continuacion-de-coefs.-indeterminados.pdf

2 páginas

Apunte complementario sobre el proceso de resolución de EDOs por medio de coeficientes indeterminados

3 páginas