@Paramohss

21 Publicaciones

806 Interacciones

6 Seguidores

1 Siguiendo

Lista de publicaciones de Paramohss

He publicado nuevos trabajos de 1º Biología Evolutiva: MemoriaBiologiaEvolutiva.pdf

11 páginas

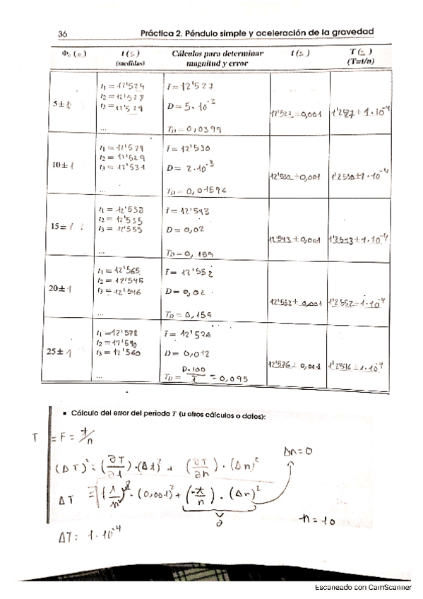
He publicado nuevos practicas de 1º Física de los Procesos Biológicos: PracticaPendulo.pdf

10 páginas

He publicado nuevos practicas de 1º Física de los Procesos Biológicos: PracticaArquimedes.pdf

8 páginas

He publicado nuevos practicas de 1º Física de los Procesos Biológicos: PracticasMedidasdeprecision.pdf

10 páginas

He publicado nuevos practicas de 1º Física de los Procesos Biológicos: PracticasTensionsuperficialdelagua.pdf

8 páginas

He publicado nuevos trabajos de 1º Métodos Para el Estudio del Medio Natural: Trabajo-Invertebrados.pptx.pdf

31 páginas

He publicado nuevos apuntes de 1º Métodos Para el Estudio del Medio Natural: CharlaEspeleologia.pdf

2 páginas

He publicado nuevos trabajos de 1º Métodos Para el Estudio del Medio Natural: CharlaParasitologia-retos-pasadopresentes-y-futuros.pdf

2 páginas

He publicado nuevos trabajos de 1º Métodos Para el Estudio del Medio Natural: DISTRIBUCION-SIERRA-ELVIRA.pdf

2 páginas

He publicado nuevos trabajos de 1º Métodos Para el Estudio del Medio Natural: HORIZONTES-DE-SIERRA-ELVIRA.pdf

3 páginas

He publicado nuevos trabajos de 1º Métodos Para el Estudio del Medio Natural: Cartografia-Sierra-Elvira.pdf

21 páginas

He publicado nuevos examenes de 1º Métodos Para el Estudio del Medio Natural: PreguntasdedesarrollodeMN.pdf

5 páginas

Para estudiar el examen de prácticas de la parte de Bioquímica

7 páginas

apuntes

-

Formularios adaptados para estudiar y para el examen

Estos son docmentos en los que altero el formulario general para que podeis estudiar, memorizar y familiarizar las formulas dependiendo de en que tipo de ejercio estéis

Formulario-general.pdf
Formulario-intervalos.pdf
Formulario-c-de-hipotesis.pdf

apuntes

-

Medio Físico

He publicado nuevos apuntes de 1º El Medio Físico: Medio Físico

Test-Medio-Fisico-Resuelto-prado.pdf

examenes

-

Bases Químicas de la Biología

He publicado nuevos examenes de 1º Bases Químicas de la Biología: Bases Químicas de la Biología

Modeloexamenresuelto.pdf
Cuadernopracticasquimica.pdf

apuntes

-

Desarrollo Conceptual de la Biología

He publicado nuevos apuntes de 1º Desarrollo Conceptual de la Biología: Desarrollo Conceptual de la Biología

Preguntas-desarrollo-conceptual-y-enlaces-a-otros-tipo-test-y-resumen-de-la-asignatura.pdf

apuntes

-

Informática para la biología

He publicado nuevos apuntes de 1º Fundamentos de Informática Para Biología: Informática para la biología

BLOQUE-3-Phyton-ejercicios.pdf
BLOQUE-2-Phyton-ejercicios.pdf
BLOQUE-1-Phyton-ejercicios.pdf