@passsstri

135 Publicaciones

4.48k Interacciones

13 Seguidores

0 Siguiendo

Lista de publicaciones de passsstri

practicas

-

Supuestos tema 2

He publicado nuevos practicas de 1º Contabilidad Financiera I: Supuestos tema 2

Supuesto-1-T2.pdf
Supuesto-2-T2.pdf
Supuesto-3-T2.pdf

He publicado nuevos examenes de 1º Introducción a la Microeconomía: Examen-1-parcial-resuelto-Enero-2022.pdf

8 páginas

He publicado nuevos examenes de 1º Introducción a la Microeconomía: Examen-1-parcial-resuelto-Junio-2023.pdf

7 páginas

He publicado nuevos examenes de 1º Introducción a la Microeconomía: Examen-1-parcial-resuelto-Enero-2019.pdf

9 páginas

apuntes

-

Resumen temas (6-10)

He publicado nuevos apuntes de 1º Introducción a la Microeconomía: Resumen temas (6-10)

Resumen-Tema-6.pdf
Resumen-Tema-7.pdf
Resumen-Tema-8.pdf
Resumen-Tema-10.pdf

Respuestas en la última página

9 páginas

practicas

-

Prácticas por temas (1 - 5)

He publicado nuevos practicas de 1º Derecho de la Empresa: Prácticas por temas (1 - 5)

Practicas-Tema-1-Empresario-y-Contabilidad.pdf
Practica-2-RM-REPRESENTACION-Y-CONTABILIDAD.pdf
Practica-3-Derecho-de-la-Competencia-y-la-Propiedad-Intelectual.pdf

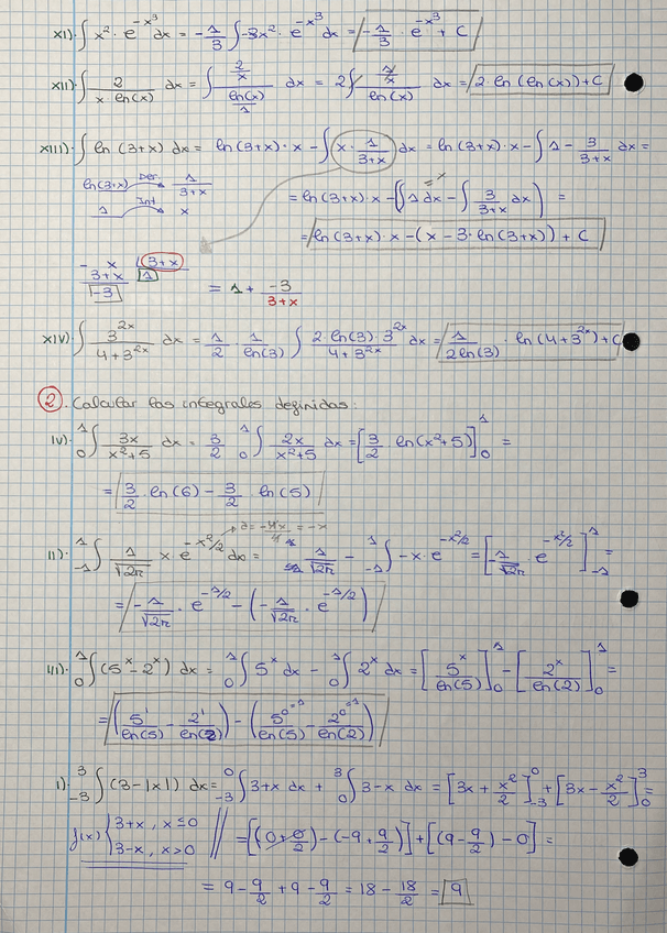
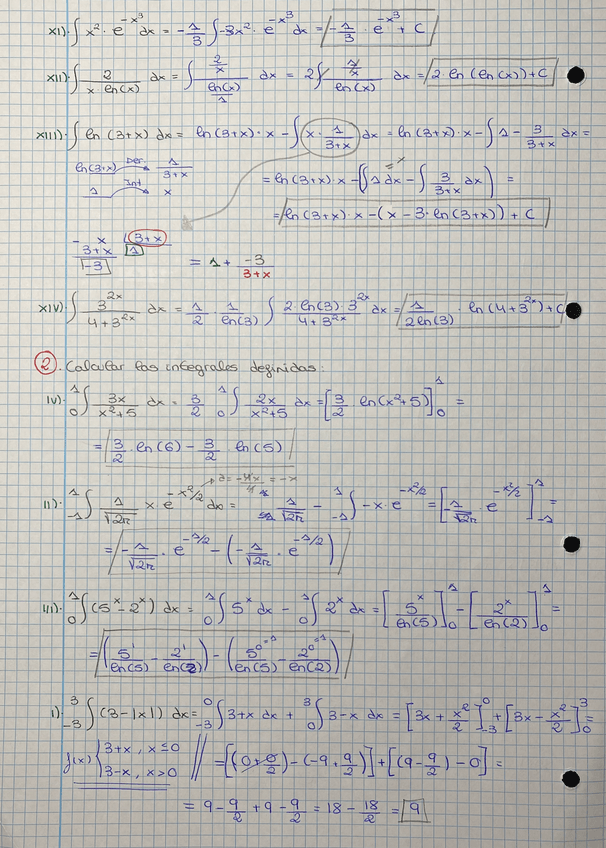
He publicado nuevos examenes de 1º Matemáticas I: Examen resuelto-2-parcial-2023-modelo-2.pdf

4 páginas

He publicado nuevos apuntes de 1º Matemáticas I: Examen resuelto-2-parcial-2023-modelo-1.pdf

6 páginas

He publicado nuevos examenes de 1º Matemáticas I: Examen resuelto-1-parcial-2023-tipo-D.pdf

8 páginas

He publicado nuevos apuntes de 1º Matemáticas I: Ejercicios-tema-3.pdf

11 páginas

He publicado nuevos examenes de 1º Introducción a la Microeconomía: Examen resuelto-2-parcial-enero-2023.pdf

9 páginas

apuntes

-

Resumen temas 1-5

He publicado nuevos apuntes de 1º Introducción a la Microeconomía: Resumen temas 1-5

Resumen-Tema-1.pdf
Resumen-Tema-2.pdf
Resumen-Tema-3.pdf
Resumen-tema-4.pdf
Resumen-Tema-5.pdf

He publicado nuevos examenes de 1º Matemáticas I: Examen-resuelto-1-parcial-2023-tipo-C.pdf

8 páginas

He publicado nuevos examenes de 1º Matemáticas I: Examen resuelto-1-parcial-2023-tipo-B.pdf

6 páginas

He publicado nuevos examenes de 1º Matemáticas I: Examen resuelto-1 parcial-2023-tipo-A.pdf

8 páginas

Ejercicios detallados

13 páginas

Ejercicios detallados

16 páginas

He publicado nuevos apuntes de 1º Matemáticas I: Derivadas-resumen.pdf

3 páginas

He publicado nuevos apuntes de 1º Matemáticas I: Apuntes-tema-1.pdf

12 páginas