@patibausili

15 Publicaciones

250 Interacciones

3 Seguidores

2 Siguiendo

Lista de publicaciones de patibausili

He publicado nuevos apuntes de 1º Analisis de balances para la dirección comercial: Teoria-1er-parcial-analisis-de-balances.pdf

4 páginas

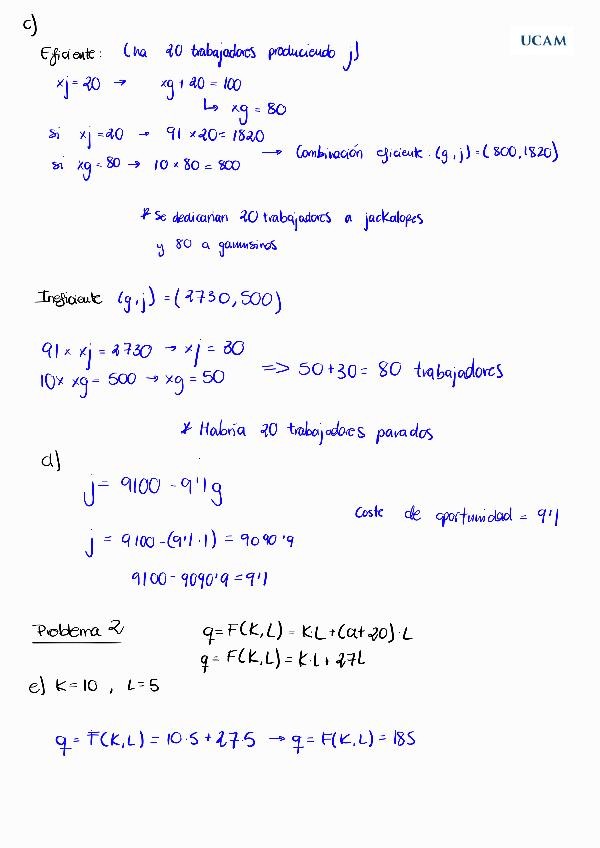
He publicado nuevos practicas de 1º Microeconomía: Tareas-Microeconomia-todas.pdf

13 páginas

He publicado nuevos apuntes de 1º Economía Mundial y Española: T6.-Mercado-de-trabajo-sector-publico-y-financiero.pdf

3 páginas

He publicado nuevos apuntes de 1º Economía Mundial y Española: T5.-La-economia-espanola.pdf

5 páginas

He publicado nuevos apuntes de 1º Fundamentos de Economía de la Empresa: t4-empresa.pdf

3 páginas

He publicado nuevos apuntes de 1º Fundamentos de Economía de la Empresa: T5-empresa-2o-parcial.pdf

2 páginas

He publicado nuevos apuntes de 1º Fundamentos de Marketing: t2-entorno-y-mercado.pdf

5 páginas

He publicado nuevos apuntes de 1º Fundamentos de Marketing: T1-Conceptos-basicos.pdf

8 páginas

He publicado nuevos practicas de 1º Microeconomía: Tarea-1.pdf

4 páginas

He publicado nuevos apuntes de 1º Estructura y Función I: miologia-anatomia-1.pdf

11 páginas

He publicado nuevos apuntes de 1º Estructura y Función I: artrologia-anatomia-1.pdf

2 páginas

He publicado nuevos apuntes de 1º Estructura y Función II: Todo-bioquimica-II.pdf

22 páginas

He publicado nuevos apuntes de 1º Estructura y Función II: Aparato cardiorrespiratorio (fisiología).pdf

17 páginas

He publicado nuevos apuntes de 1º Estructura y Función II: Taller 2 Vómitos y diarrea.pdf

4 páginas

He publicado nuevos apuntes de 1º Estructura y Función II: Desarrollo sistema cardíaco (anatomía).pdf

13 páginas