@Patri_rpt

Estudios: Máster en Ingeniería Industrial (UPM) ...Mostrar más

13 Publicaciones

1.16k Interacciones

2 Seguidores

0 Siguiendo

Lista de publicaciones de Patri_rpt

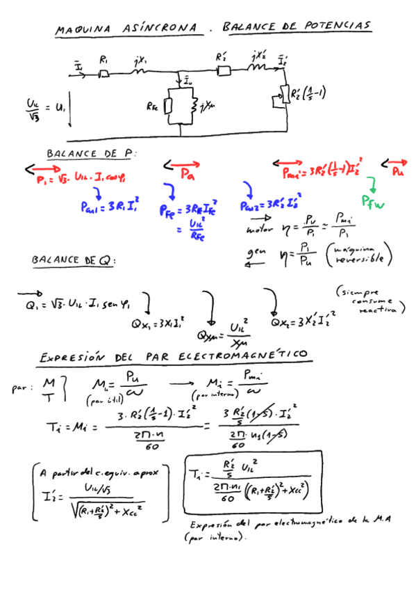
He publicado nuevos apuntes de 2º Máquinas Eléctricas: 25-05-2020-12.pdf

8 páginas

apuntes

-

Todo Asincronas

He publicado nuevos apuntes de 2º Máquinas Eléctricas: Todo Asincronas

Maquinas-Asincronas.pdf
MA-func-como-mot-gen-freno.pdf
MA-Circuito-equivalente.pdf
MA-Caracteristica-mecanica.pdf
MA-func-como-mot-gen-freno-1.pdf
MAprincfuncionamiento.pdf

He publicado nuevos apuntes de 2º Dinámica de Sistemas: 19-05-2020-10.pdf

17 páginas

He publicado nuevos apuntes de 2º Máquinas Eléctricas: problema.pdf

2 páginas

He publicado nuevos apuntes de 2º Máquinas Eléctricas: drive-download-20200405T130932Z-001.zip

Miniatura no disponible
zip

He publicado nuevos apuntes de 2º Máquinas Eléctricas: Apuntesproblemas-exam.pdf

16 páginas

He publicado nuevos apuntes de 2º Diseño de Experimentos y Modelos de Regresión: Apuntes-y-ejercicios-T1-T2-T3.pdf

18 páginas