@paulammartin

7 Publicaciones

480 Interacciones

2 Seguidores

2 Siguiendo

Lista de publicaciones de paulammartin

He publicado nuevos apuntes de 1º Microeconomía: apuntes-micro.pdf

40 páginas

He publicado nuevos apuntes de 1º Fundamentos de Administración de Empresas: apuntes-intro-to-businness.pdf

77 páginas

He publicado nuevos apuntes de 1º Historia Económica: apuntes-economic-history.pdf

52 páginas

He publicado nuevos apuntes de 1º Introducción al derecho civil patrimonial: apuntes-civil-patrimonial-law.pdf

86 páginas

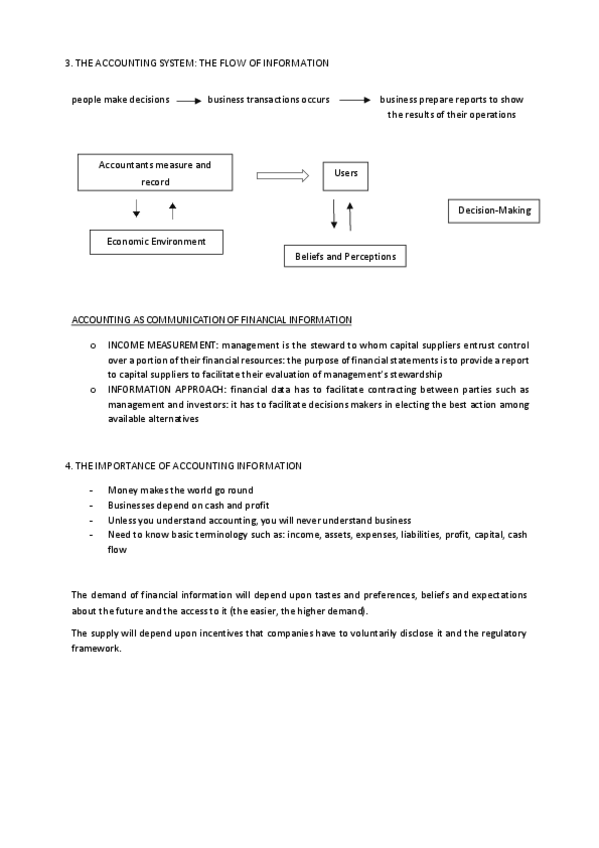
He publicado nuevos apuntes de 1º Introducción a la Contabilidad: apuntes-intro-to-accounting.pdf

21 páginas