@pauperrom

Estudios: Grado en Educación Primaria (US) ...Mostrar más

55 Publicaciones

2.54k Interacciones

7 Seguidores

2 Siguiendo

Lista de publicaciones de pauperrom

APUNTES DE GILDA

¿Alguien tiene apuntes de NEAE de la parte teórica de la profesora Gilda del grupo 3? Gracias!!!

He publicado nuevos test de 2º Organización del Centro Escolar: PLANTILLA-PREGUNTAS-TEMA-3-MARGARITA.pdf

4 páginas

Documento con todas las preguntas que caen en el examen final

2 páginas

Preguntas de desarrollo muy completas, atendiendo a lo que exige Margarita. Obtuve muy buena calificación

20 páginas

He publicado nuevos apuntes de 2º Metodología de Investigación Educativa y Atención a la Diversidad: Segundo-parcial-apuntes.pdf

6 páginas

He publicado nuevos apuntes de 2º Metodología de Investigación Educativa y Atención a la Diversidad: o-PARCIAL-PAU.pdf

13 páginas

apuntes

-

TEMARIO GEOGRAFÍA COMPLETO

Apuntes muy completos y suficientes para el examen

TEMA-4-GEO-PAULA.pdf
TEMA-2-GEO-PAULA.pdf
TEMA-6-geo.pdf
TEMA-3-geo.pdf
TEMA-5-geo-Paula.pdf
TEMA-7-geo-Paula.pdf

Comparación entre distintos climogramas para el examen

1 página

apuntes

-

APUNTES MATES 1º CUATRI

He publicado nuevos apuntes de 1º Matemáticas Específicas Para Maestros: APUNTES MATES 1º CUATRI

TEMA-3.pdf
TEMA-4.pdf
TEMA-2.pdf
TEMA-1.pdf
TEMA-5-MATES.pdf

apuntes

-

TEMAS CIENCIA DE LA MATERIA

He publicado nuevos apuntes de 1º Fundamento de Ciencias de la Materia: TEMAS CIENCIA DE LA MATERIA

TEMA-5.pdf
TEMA-6.pdf
TEMA-2.pdf
TEMA-4.pdf
TEMA-3.pdf

He publicado nuevos apuntes de 1º Didáctica General: POSIBLES-PREGUNTAS-EXAMEN-DIDACTICA-GENERAL-PRIMARIA.pdf

8 páginas

VENDO LIBRO DE PSICOLOGÍA DEL DESARROLLO

Vendo libro de psicología del desarrollo fotocopiado y encuadernado a carilla por hoja, en perfecto estado. Mi ig es @paulaaperezz_02

He publicado nuevos apuntes de 1º Fundamentos de Ciencias de la Vida: IMAGENES-IMPORTANTES-PARA-EL-EXAMEN-DE-BIOLOGIA.pdf

14 páginas

practicas

-

PRÁCTICAS. SOCIOLOGÍA.

He publicado nuevos practicas de 1º Familia, Escuela, Relaciones Interpersonales y Cambio Social: PRÁCTICAS. SOCIOLOGÍA.

PRACTICAS.pdf

He publicado nuevos ejercicios de 1º Fundamentos de Ciencias de la Vida: Actividades-tema-2.docx

word

ejercicios

-

ACTIVIDADES TEMA 1 AUXI

He publicado nuevos ejercicios de 1º Fundamentos de Ciencias de la Vida: ACTIVIDADES TEMA 1 AUXI

ACTIVIDAD-SEMILLASPAULA.docx
Ejercicio-codigo-genetico-bien.docx
ACTIVIDADES-TEMA-1.docx

apuntes

-

TEMARIO COMPLETO PRIMER PARCIAL MATES

Profesor: Ramón

TEMA-4.pdf
TEMA-5-MATES.pdf
TEMA-3.pdf
TEMA-2.pdf
TEMA-1.pdf

Profesora: Elsa Gabis

3 páginas

ejercicios

-

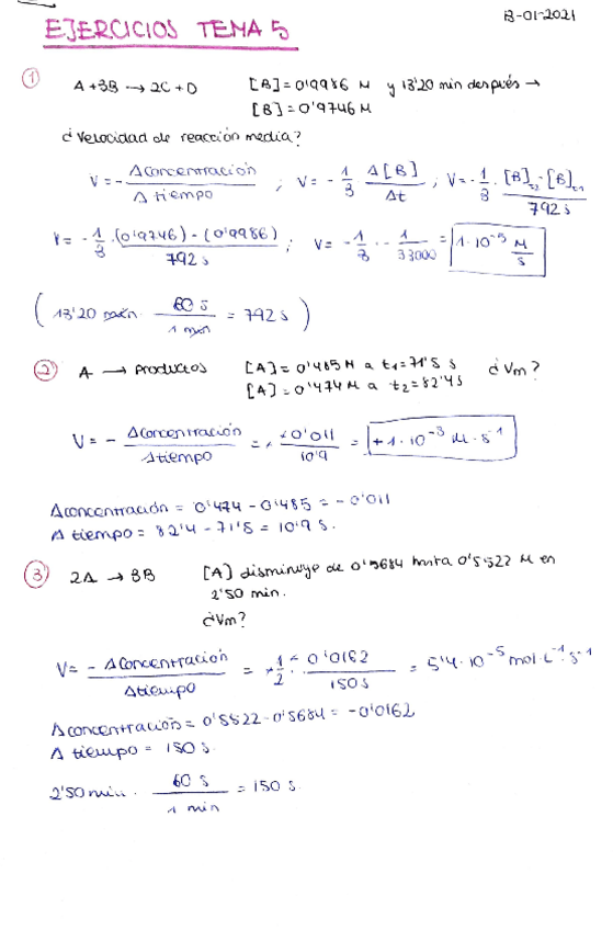
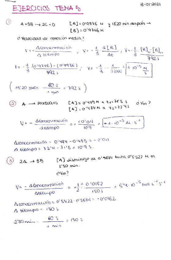
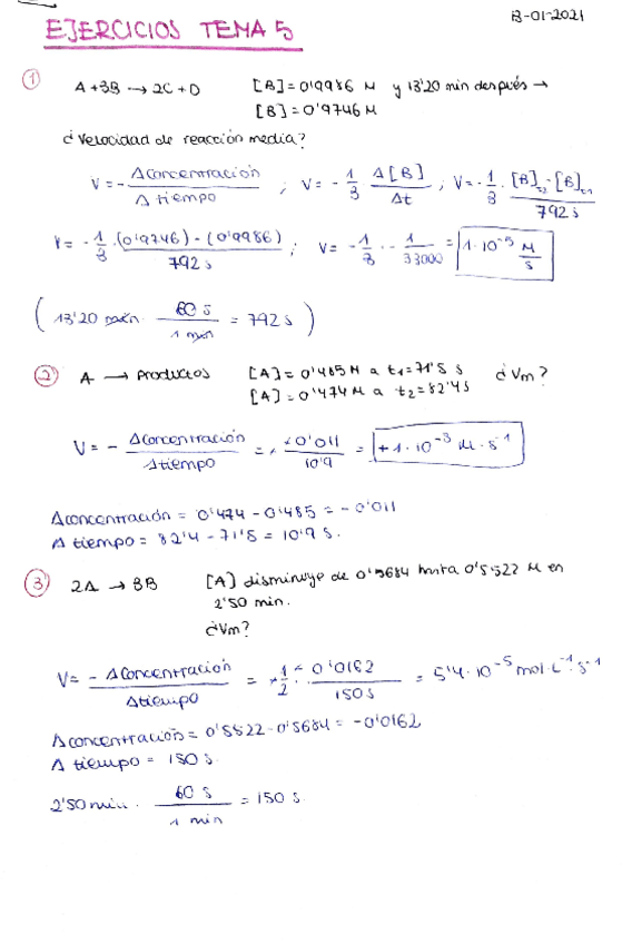
EJERCICIOS RESULETOS DEL BOLETIN

Profesora: Elsa Gabis

TEMA-5.pdf
TEMA-3.pdf
TEMA-4.pdf
TEMA-2.pdf
TEMA-6.pdf