@pawpiapuntes

Bio: Lo que esperas ver en ChatGPT cuando le pides que te lo explique como si fueras un niño con retraso

189 Publicaciones

4.95k Interacciones

51 Seguidores

5 Siguiendo

Lista de publicaciones de pawpiapuntes

en mi perfil apuntes de: 4 ->DIRECCIÓN FINANCIERA (a partir del 9 subiré la última relación) 3-> CONTABILIDAD DE GESTIÓN DERECHO FISCAL CON IRPF ANOTADO 2->TC1 CONTABILIDAD FINANCIERA I

en mi perfil apuntes de: 4 ->DIRECCIÓN FINANCIERA (a partir del 9 subiré la última relación) 3-> CONTABILIDAD DE GESTIÓN DERECHO FISCAL CON IRPF ANOTADO 2->TC1 CONTABILIDAD FINANCIERA I

He publicado nuevos apuntes de 4º Dirección Financiera: Relacion-temas-5-6-corregida-en-clase.pdf

22 páginas

He publicado nuevos apuntes de 4º Dirección Financiera: Relacion-tema-4-corregida-en-clase.pdf

18 páginas

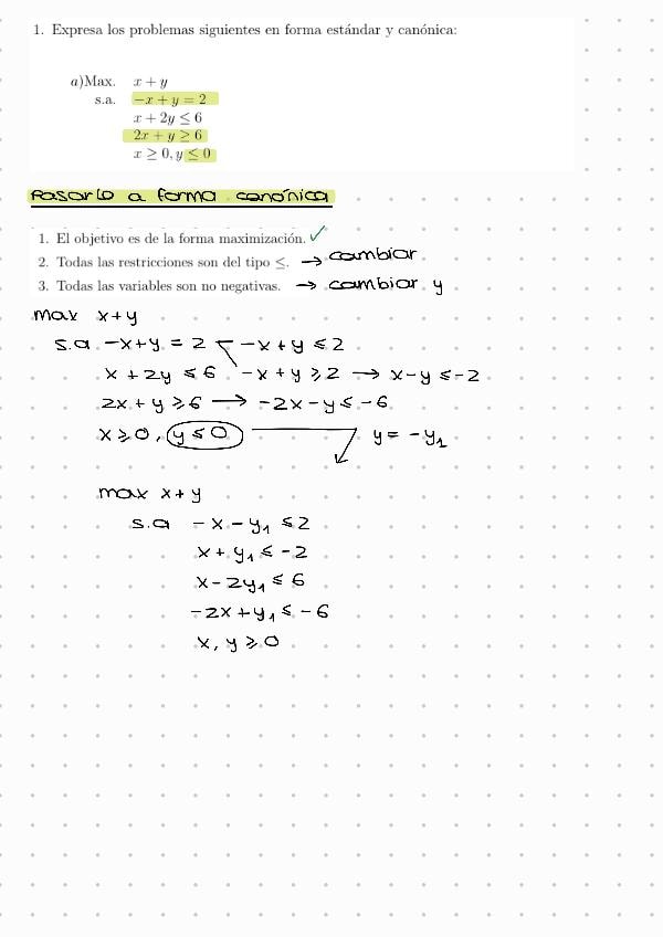
En el 9 donde pongo q tmb puede ser 89,99/0,12... realmente es (89,99/1,12^3)/0,12=693,25

9 páginas

apuntes de DOI en mi perfil!!

acabo de subir todo el irpf anotado para derecho fiscal yyyyyy todos mis apuntes de contabilidad financiera 1 :)))))))))))))))))

He publicado nuevos apuntes de 2º Contabilidad Financiera I: tema-4-ejercicios-resueltos.pdf

8 páginas

He publicado nuevos apuntes de 2º Contabilidad Financiera I: tema-5-apuntes-con-ejemplos.pdf

12 páginas

He publicado nuevos apuntes de 2º Contabilidad Financiera I: tema-4-apuntes-con-ejemplos.pdf

19 páginas

He publicado nuevos apuntes de 2º Contabilidad Financiera I: tema-4-ejercicios-propuestos.pdf

11 páginas

He publicado nuevos apuntes de 2º Contabilidad Financiera I: tema-5-ejercicios-propuestos.pdf

7 páginas

He publicado nuevos apuntes de 2º Contabilidad Financiera I: tema-6-apuntes-con-ejemplos.pdf

12 páginas

apuntes

-

IRPF anotado!!!

He publicado nuevos apuntes de 3º Derecho Fiscal: IRPF anotado!!!

tema-2.pdf
tema-3-rendimientos-del-trabajo.pdf
tema-4-rendimientos-del-capital.pdf
tema-5-rendimientos-de-las-actividades-economicas.pdf
tema-8.pdf

He publicado nuevos apuntes de 2º Contabilidad Financiera I: tema-3-apuntes-clase-ejemplos.pdf

16 páginas

He publicado nuevos apuntes de 2º Contabilidad Financiera I: tema 2 Ejercicios-resueltos.pdf.pdf

11 páginas

los enunciados están en otro documento en mi perfil (supuestos libro enunciado tema 2)

6 páginas

ejercicios, apuntes y esquemas de direccion de operaciones i en mi perfil!!! 💋💋

He publicado nuevos apuntes de 3º Contabilidad de Gestión: Casos-practicos-Tema-5.pdf

25 páginas

He publicado nuevos apuntes de 3º Contabilidad de Gestión: Casos-practicos-Tema-4.pdf

34 páginas