@PechitoAsien

Estudios: Grado en Economía (UAL) ...Mostrar más

Bio: Soy estudiante de matemáticas+economía en la ual (al menos hasta que no me metan en un psiquiátrico) Intentaré subir las tonterías que escribo y tal

74 Publicaciones

1.15k Interacciones

5 Seguidores

1 Siguiendo

Lista de publicaciones de PechitoAsien

ejercicios

-

AV Relaciones Resueltas

He publicado nuevos ejercicios de 3º Análisis Vectorial: AV Relaciones Resueltas

AV-Relacion-2.pdf
AV-Relacion-9.pdf
AV-Relacion-7.pdf
AV-Relacion-8.pdf
AV-Relacion-6.pdf
AV-Relacion-10.pdf

https://www.canva.com/design/DAG7gWTNFbE/0NTA9yvbvAjwxOqhkPVDVQ/edit?utm_content=DAG7gWTNFbE&utm_campaign=designshare&utm_medium=link2&utm_source=sharebutton

apuntes

-

AV Demostraciones

Demostraciones redactadas para el primer parcial: - Las parametrizaciones llevan extremos a extremos. - Proposiciones sobre las integrales de línea de curvas equivalentes. - Integral de línea para curvas regulares cerradas = 0. - F es conservativo en cto

AV-Demostraciones-Primer-Parcial-black.pdf
AV-Demostraciones-Primer-Parcial-white.pdf

He publicado nuevos ejercicios de 3º Estadística Matemática: MS-Chapter-4.-Solved-Exercises.pdf

24 páginas

He publicado nuevos ejercicios de 3º Economía Financiera: EF-Ejercicios-Resueltos-T4.pdf

16 páginas

He publicado nuevos ejercicios de 3º Economía Financiera: EF-ejercicios-Resueltos-T2.pdf

31 páginas

He publicado nuevos apuntes de 2º Economía Mundial: PREGUNTAS-ECONOMIA-MUNDIAL.pdf

9 páginas

practicas

-

FIS Informes

Informes de Laboratorio

FIS-Practica-3.-Ley-de-Hooke.pdf
FIS-Practica-5.-Principio-de-Arquimedes.pdf
FIS-Practica-15.-Dilatacion-termica-de-solidos.pdf

ejercicios

-

EDI Actividades

Ejercicios evaluables

EDI-Actividad-1-soluciones.pdf
EDI-Actividad-2-Soluciones.pdf
EDI-Actividad-4-soluciones.pdf
EDI-Actividad-6-Soluciones.pdf
EDI-Actividad-8-soluciones.pdf

ejercicios

-

Ejercicios Macroeconomía

Ejercicios de examen resueltos por Domingo Bonillo

MA-Ejercicio-de-examen.pdf

He publicado nuevos apuntes de 2º Geometría Afín: Clasificacion-transformaciones-ortogonales.pdf

2 páginas

ejercicios

-

AL Relaciones resueltas

Relaciones de ejercicios resueltas =D

AL-Relacion-1-resuelta.pdf
AL-Relacion-5.pdf
AL-Relacion-6.pdf

ejercicios

-

AL Relaciones ejercicios

Relaciones de ejercicios (enunciados)

AL-Relacion-ejercicios-T.1.pdf
AL-Relacion-2-ejercicios-Cayley-Hamilton.pdf
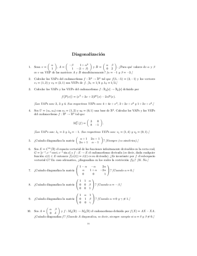
AL-Ejercicios-Diagonalizacion-y-Forma-canonica-de-Jordan.pdf
AL-Relacion-4-ejercicios-Jordan.pdf
AL-Relacion-3-ejercicios.pdf
AL-Relacion-5-ejercicios-Espacios-vectoriales-euclídeos.pdf

apuntes

-

AL Apuntes variados

Apuntes y Anexos de Álgebra Lineal

AL-Algoritmo-de-Diagonalizacion.pdf
AL-Diagonalizacion-con-Mathematica.pdf
AL-Prerrequisitos-y-Repaso-T.0.pdf
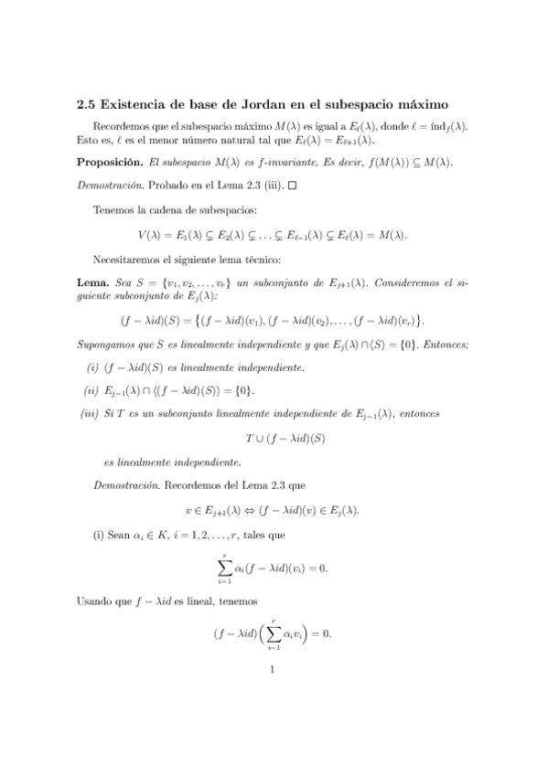
AL-Apuntes-y-Diagramas-2.5-Subespacio-maximo.-Forma-de-Jordan.pdf
AL-Mejor-aproximacion-funcion-seno.pdf

apuntes

-

AL Apuntes Asignatura

Apuntes manuscritos por temas

AL-Apuntes-Tema-1.-Diagonalizacion.pdf
AL-Apuntes-2.6-Subespacio-maximo-y-multiplicidad-algebraica.pdf
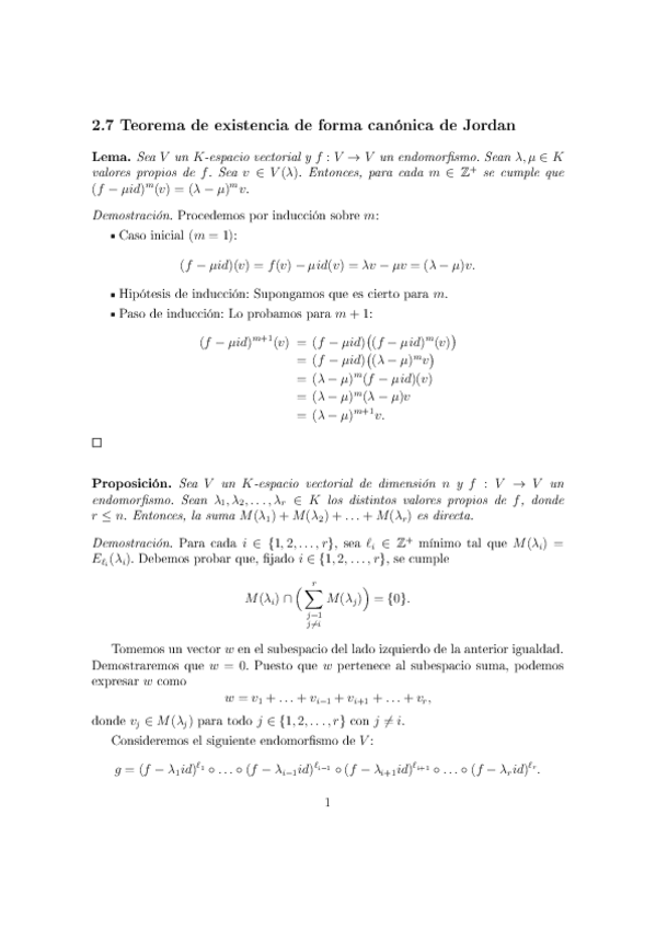
AL-Apuntes-2.7-Teorema-de-existencia-de-forma-canonica-de-Jordan.pdf
AL-Apuntes-Tema-3.-Espacios-vectoriales-euclideos.-Diagonalizacion-ortogonal.pdf

ejercicios

-

AM Relaciones de Ejercicios

Relaciones de ejercicios con indicaciones

AM-Relacion-ejercicios-Tema-1.pdf
AM-Relacion-ejercicios-Tema-2.pdf
AM-Relacion-ejercicios-Tema-3.pdf
AM-Relacion-ejercicios-Tema-4-Continuacion.pdf
AM-Relacion-ejercicios-Tema-4.pdf
AM-Relacion-ejercicios-Tema-5.pdf

examenes

-

AL Exámenes (Resueltos)

Exámenes resueltos de Álgebra Lineal

AL-Parcial-1-resuelto.pdf
AL-Parcial-2-resuelto.pdf

ejercicios

-

AL Actividades (Resueltas)

Actividades para entregar con soluciones

AL-Actividad-1.pdf
AL-Actividad-2.pdf
AL-Actividad-3.pdf
AL-Actividad-4.pdf
AL-Actividad-5.pdf
AL-Actividad-6.pdf