@penguin_

Estudios: Grado en Ciencias Ambientales (UCA) ...Mostrar más

32 Publicaciones

815 Interacciones

1 Seguidores

3 Siguiendo

Lista de publicaciones de penguin_

He publicado nuevos apuntes de 4º Pesqueiras: Pesquerias-Temas-1-5.pdf

26 páginas

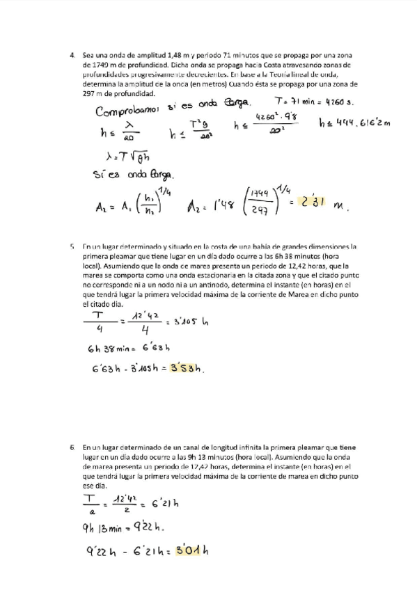
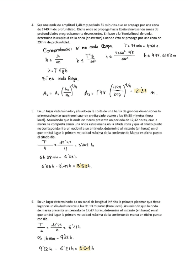
He publicado nuevos apuntes de 2º Oceanografía Física: TEST-TEMA-4-ONDAS RESUELTO.pdf

18 páginas

ejercicios

-

problemas resueltos

He publicado nuevos ejercicios de 2º Oceanografía Física: problemas resueltos

Problemas-tema-0-resueltos.pdf
Problemas-tema-1-hoja-1-resueltos.pdf
Problemas-tema-1-hoja-2-resueltos.pdf
Problemas-tema-3.pdf
Problemas-tema-2-hoja-4.pdf
Problemas-tema-2-hoja-5.pdf

apuntes

-

CUESTIONARIOS

He publicado nuevos apuntes de 1º INTRODUCCIÓN A LA OCEANOGRAFÍA: CUESTIONARIOS

CUESTIONARIO-TEMA-5-2223.pdf
Cuestionario-tema-6-2223.pdf
CUESTIONARIO-TEMA-7-8-2223.pdf
CUESTIONARIO-TEMA-14-2122.pdf
CUESTIONARIO-TEMA-15-2122.pdf
CUESTIONARIO-TEMA-16-2122.pdf

apuntes

-

PRACTICA

He publicado nuevos apuntes de 1º Estadística: PRACTICA

Practica-inferencia-clase-resuelto.pdf
Supuesto-global-resuelto.pdf

He publicado nuevos apuntes de 2º Sig y Teledetección: problemas-SIG.pdf

5 páginas

He publicado nuevos apuntes de 2º Oceanografía Física: Cuestionario-tema-4.pdf

4 páginas

He publicado nuevos apuntes de 2º Oceanografía Física: Cuestionario-TEMA-3.pdf

3 páginas

ejercicios

-

Problemas

He publicado nuevos ejercicios de 2º química de las disoluciones acuosas: Problemas

PROBLEMAS-TEMA-1.pdf
PROBLEMAS-TEMA-2.pdf
PROBLEMAS-TEMA-3.pdf
PROBLEMAS-TEMA-4.pdf
PROBLEMAS-TEMA-6.pdf

He publicado nuevos trabajos de 2º química de las disoluciones acuosas: AAD-TEMA-8-9.pdf

3 páginas

He publicado nuevos trabajos de 2º química de las disoluciones acuosas: AAD-TEMA-7.pdf

4 páginas

He publicado nuevos trabajos de 2º química de las disoluciones acuosas: AAD-TEMA-6.pdf

4 páginas

He publicado nuevos trabajos de 2º química de las disoluciones acuosas: AAD-TEMA-5.pdf

6 páginas

He publicado nuevos trabajos de 2º química de las disoluciones acuosas: AAD-TEMA-3-4.pdf

5 páginas

He publicado nuevos trabajos de 2º química de las disoluciones acuosas: AAD-TEMA-1-2.pdf

4 páginas