@PepeMa

21 Publicaciones

1.11k Interacciones

0 Seguidores

0 Siguiendo

Lista de publicaciones de PepeMa

He publicado nuevos examenes de 2º Química Física I: ex-QFI-Feb11.pdf

1 página

He publicado nuevos examenes de 1º Física General: solucionesFebrero.pdf

pdf

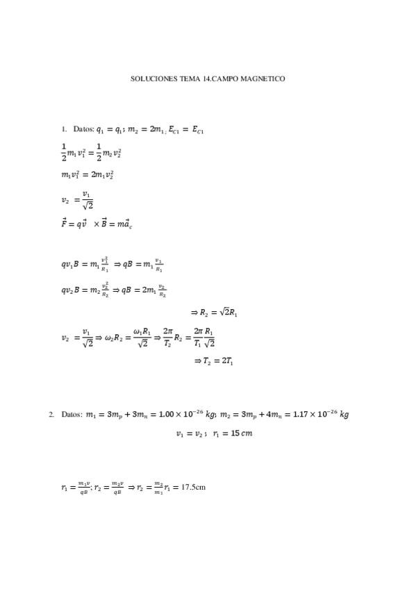
He publicado nuevos ejercicios de 1º Física General: SOLUCIONES_TEMA_14._Campo_Magnetico.pdf

4 páginas