@Pepigri

159 Publicaciones

9.74k Interacciones

3 Seguidores

1 Siguiendo

Lista de publicaciones de Pepigri

He publicado nuevos apuntes de 4º Sistemas Informáticos de Soporte a la Colaboración y Decisión: Tema-1.pdf

8 páginas

He publicado nuevos apuntes de 4º Inglés para la Comunicación Intercult. y Negociac.: Introductory-activities-1.pdf

4 páginas

He publicado nuevos apuntes de 3º Comercio Exterior: INCOTERMS-2.pdf

25 páginas

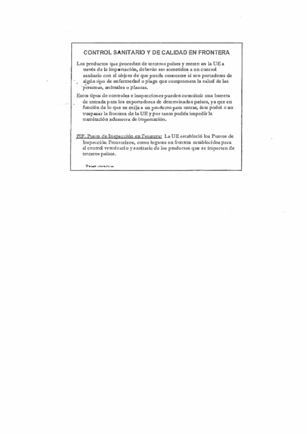
He publicado nuevos apuntes de 3º Comercio Exterior: Regimenes-aduaneros.pdf

10 páginas

apuntes

-

Temas completos FDAE

He publicado nuevos apuntes de 1º Fundamentos de Dirección y Administración de Empresas: Temas completos FDAE

Tema-5-fdae.pdf
Tema-6-fdae-.pdf
Tema-7-fdae.pdf
Tema-10-fdae-.pdf
Fdae-tema-9.pdf
Tema-8-fdae.pdf

He publicado nuevos apuntes de 2º Tecnicas Cuantitativas Ii: 29-junio-21-final-extraordinario-def-con-sol-Prado.pdf

8 páginas

He publicado nuevos apuntes de 2º Tecnicas Cuantitativas Ii: 21-mayo-21-segundo-parcial-para-Prado.pdf

6 páginas

He publicado nuevos apuntes de 2º Tecnicas Cuantitativas Ii: Formulas-tc-tema-3-4.pdf

4 páginas

He publicado nuevos apuntes de 2º Dirección Comercial II: Formula-tema-3.pdf

2 páginas

He publicado nuevos apuntes de 2º Tecnicas Cuantitativas Ii: Tema-3-c-20-21.pdf

12 páginas

He publicado nuevos apuntes de 2º Tecnicas Cuantitativas Ii: Tema-2-c-20-21.pdf

16 páginas

He publicado nuevos apuntes de 2º Tecnicas Cuantitativas Ii: 31-mayo-21-final-ordinario-MIM-y-FICO-def-con-soluciones.pdf

9 páginas

He publicado nuevos apuntes de 2º Dirección Comercial II: Formulas-dc2.pdf

2 páginas

He publicado nuevos examenes de 2º Economía Española y Mundial: Examen-EEM.pdf

9 páginas

He publicado nuevos apuntes de 1º Matemáticas: Examen-matematicas.pdf

3 páginas

He publicado nuevos examenes de 2º Economía Española y Mundial: Examen-economia-politica.pdf

15 páginas

He publicado nuevos examenes de 2º Dirección Comercial II: Examen-dc2.pdf

5 páginas

He publicado nuevos examenes de 1º Introducción al Marketing: Examen-imk.pdf

7 páginas

He publicado nuevos examenes de 2º Distribucion Comercial I: Examen-distribucion-comercial-1.pdf

10 páginas

He publicado nuevos examenes de 1º Introducción a las Operaciones Financieras: Examen-iof.pdf

9 páginas