@petals

Estudios: Grado en Estudios Ingleses (UGR) ...Mostrar más

36 Publicaciones

913 Interacciones

7 Seguidores

10 Siguiendo

Lista de publicaciones de petals

He publicado nuevos examenes de 2º Gramática Inglesa Ii: Estructura de la Oración: Posibles-preguntas-de-examen.pdf

4 páginas

Con Miriam Fernández

1 página

Eduardo Segura

22 páginas

He publicado nuevos apuntes de 2º Literatura Inglesa I: Essay-Invigilation-and-Espionage-in-Hamlet.pdf

2 páginas

He publicado nuevos apuntes de 2º Literatura Inglesa I: Essay-Hamlet-Soliloquy.pdf

3 páginas

He publicado nuevos apuntes de 2º Literatura Inglesa I: Essay-Revenge-in-Hamlet.pdf

3 páginas

He publicado nuevos apuntes de 2º Literatura Inglesa I: Essay-Tragedy-in-Hamlet.pdf

2 páginas

He publicado nuevos apuntes de 2º Literatura Inglesa I: Essay-Suicide-in-Hamlet.pdf

5 páginas

He publicado nuevos examenes de 2º Literatura Inglesa I: Posibles-preguntas-y-respuestas.pdf

42 páginas

He publicado nuevos examenes de 3º Gramática Inglesa Iii: Estructura del Sintagma: Posibles-preguntas.pdf

3 páginas

He publicado nuevos apuntes de 3º Fonética y fonología del inglés I: esquema-tema-4.pdf

4 páginas

He publicado nuevos apuntes de 2º Literatura Inglesa I: Preguntas-Hamlet.pdf

10 páginas

He publicado nuevos apuntes de 2º Literatura Inglesa I: Temario-completo.pdf

31 páginas

He publicado nuevos apuntes de 2º Gramática Inglesa Ii: Estructura de la Oración: Outline-esquema-T4.pdf

9 páginas

He publicado nuevos apuntes de 2º Gramática Inglesa Ii: Estructura de la Oración: Outline-esquema-T3.pdf

6 páginas

He publicado nuevos apuntes de 2º Gramática Inglesa Ii: Estructura de la Oración: Outline-esquema-T2.pdf

9 páginas

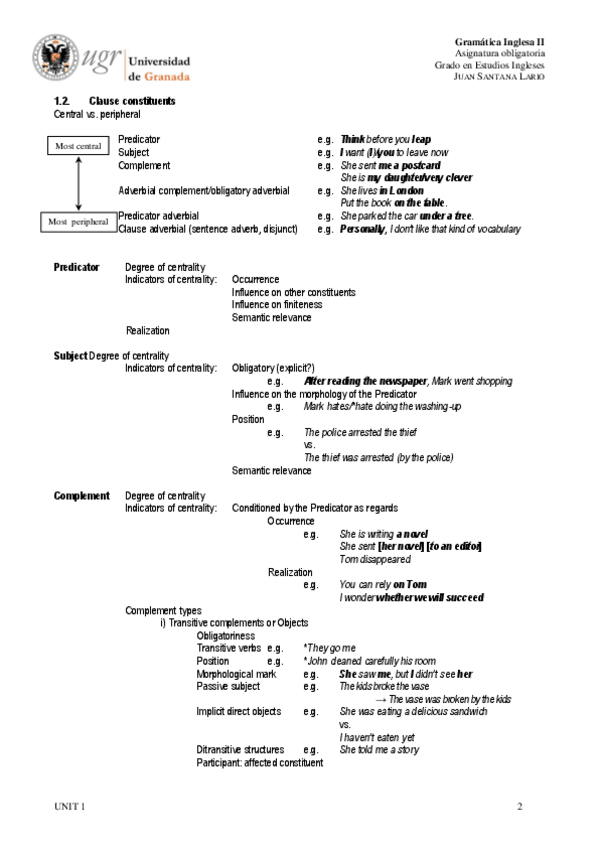
He publicado nuevos apuntes de 2º Gramática Inglesa Ii: Estructura de la Oración: Outline-esquema-T1.pdf

6 páginas

Con Salvador Valera

41 páginas

He publicado nuevos apuntes de 2º Lengua y cultura de los países de habla inglesa i: Todos los powerpoints.pdf

70 páginas

He publicado nuevos apuntes de 1º Derecho Romano: UNIDAD-3.pdf

24 páginas