@pezahogado

Estudios: Grado en Matemáticas (UAL) ...Mostrar más

49 Publicaciones

2.82k Interacciones

5 Seguidores

1 Siguiendo

Lista de publicaciones de pezahogado

He publicado nuevos examenes de 2º Matemática Discreta: parte-practica-ordinaria-2025.pdf

5 páginas

apuntes

-

Practicas Física II

Nota media: 9

Efecto-Fotoelectrico.pdf
Oscilaciones-amortiguadas-y-forzadas.pdf
INTERFEROMETRO-DE-MICHELSON-MORLEY.pdf
Pendulo-fisico.-Radio-de-giro.pdf

examenes

-

Parciales resueltos

He publicado nuevos examenes de 2º Ecuaciones Diferenciales I: Parciales resueltos

19-octubre-2020.pdf
20-octubre-2022.pdf
30-octubre-2019.pdf
12-noviembre-2021.pdf

trabajos

-

Entregas

He publicado nuevos trabajos de 2º Sistemas Inteligentes: Entregas

Primera-Entrega.pdf
Segunda-entrega.pdf
Tercera-Entrega.pdf

apuntes

-

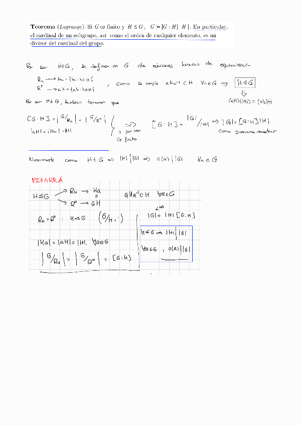
Teoremas (Demostraciones)

He publicado nuevos apuntes de 2º Matemática Discreta: Teoremas (Demostraciones)

Teoremas-de-Sylow.pdf
Teorema-de-Cayley.pdf
Teoremas-de-Lagrange.pdf
Teorema-de-Cauchy.pdf
Teoremas-de-Isomorfia.pdf
Caracterizacion-del-producto-interno-de-subgrupos.pdf

He publicado nuevos apuntes de 2º Ecuaciones Diferenciales I: Table-resumen-EDO.pdf

2 páginas

He publicado nuevos practicas de 1º Física I: Practicas-de-laboratorio-las-3.pdf

29 páginas

He publicado nuevos practicas de 1º Programación de computadores: SESIONES-9-16.pdf

67 páginas

He publicado nuevos examenes de 1º Estructuras básicas del álgebra: Parcial-EBA-24-10.pdf

4 páginas

He publicado nuevos apuntes de 1º Análisis Matemático: Tipos-de-series.pdf

2 páginas

He publicado nuevos apuntes de 1º Análisis Matemático: Directrices-1-cuatri-resueltas.pdf

14 páginas

ejercicios

-

sesiones 01-08

He publicado nuevos ejercicios de 1º Programación de computadores: sesiones 01-08

sesion-8.pdf
sesion-3.pdf
sesion-7.pdf
sesion-4-.pdf
sesion-6.pdf
sesion-5.pdf

He publicado nuevos ejercicios de 1º Geometría elemental: ejercicios.pdf

2 páginas