@pfer_

Estudios: Grado en Ingeniería Mecánica (UHU) ...Mostrar más

25 Publicaciones

288 Interacciones

1 Seguidores

0 Siguiendo

Lista de publicaciones de pfer_

Cuestiones teórico-prácticas de la asignatura bien estructuradas y con leyenda informativa para estudiar de cara al examen.

32 páginas

He publicado nuevos ejercicios de 3º Ampliación de Cálculo, Construcción y Ensayo de Máquinas: Ejercicio-Zapata-Paso-a-Paso.pdf

3 páginas

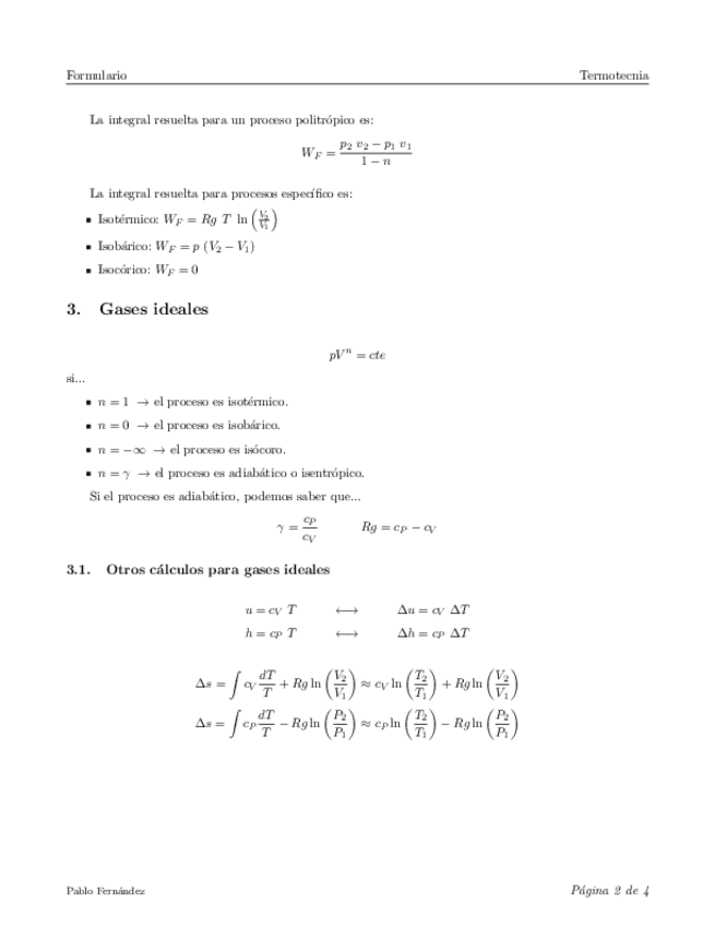
He publicado nuevos apuntes de 2º Termotecnia: Formulario-ExamenTermo.pdf

4 páginas

He publicado nuevos apuntes de 2º Fundamentos de Teoría de Máquinas y Mecanismos: Maquinas-y-Mecanismos-Resumen-1.pdf

30 páginas

apuntes

-

Problemas Examen Resueltos

He publicado nuevos apuntes de 2º Termotecnia: Problemas Examen Resueltos

Ejercicio-Termotecnia-1.pdf
Ejercicio-Termotecnia-2.pdf
Ejercicio-Termotecnia-4.pdf
Ejercicio-Termotecnia-3.pdf

He publicado nuevos apuntes de 2º Matemáticas IV: EDOs-Resumen-1-IM.pdf

3 páginas

He publicado nuevos apuntes de 2º Termotécnia e Hidráulica: Teoria-de-Dinamica-de-fluidos.pdf

18 páginas

examenes

-

Exámenes Hidráulica Solo

He publicado nuevos examenes de 2º Termotécnia e Hidráulica: Exámenes Hidráulica Solo

20220630Examen-junio2a-parte.pdf
20210707Examen-junio2a-parte.pdf

examenes

-

Pruebas Intermedias

He publicado nuevos examenes de 2º Termotécnia e Hidráulica: Pruebas Intermedias

20200525Prueba-intermediav5.pdf
20200525Prueba-intermediav4.pdf
20200525Prueba-intermediav3.pdf
20200525Prueba-intermediav2.pdf
20200525Prueba-intermediav1.pdf

examenes

-

Exámenes Termo Solo

He publicado nuevos examenes de 2º Termotécnia e Hidráulica: Exámenes Termo Solo

20220407Examen-junio1a-parte.pdf
20210505Examen-junio1a-parte-1.pdf

He publicado nuevos apuntes de 1º Física II: Termodinamica-y-Calorimetria-FII-IQI.pdf

8 páginas

He publicado nuevos examenes de 2º Termotécnia e Hidráulica: Ejercicio-Resuelto-Examen-3.pdf

3 páginas

He publicado nuevos apuntes de 1º Física II: Fisica-IQI-Apendice-I.pdf

3 páginas

He publicado nuevos apuntes de 1º Física II: Fisica-IMRREE-Apendice-I.pdf

3 páginas

He publicado nuevos examenes de 2º Termotécnia e Hidráulica: Ejercicio-Resuelto-Examen-1.pdf

3 páginas

He publicado nuevos apuntes de 2º Termotécnia e Hidráulica: Ciclo-Rankine-Simple-Termotecnia.pdf

6 páginas