@Pilcasvaz

35 Publicaciones

1.15k Interacciones

1 Seguidores

0 Siguiendo

Lista de publicaciones de Pilcasvaz

apuntes

-

Temas 1-4

He publicado nuevos apuntes de 1º Introducción al Derecho Empresarial: Temas 1-4

Tema 1.pdf
Tema 2.docx
Tema 3.docx
Tema 4.docx

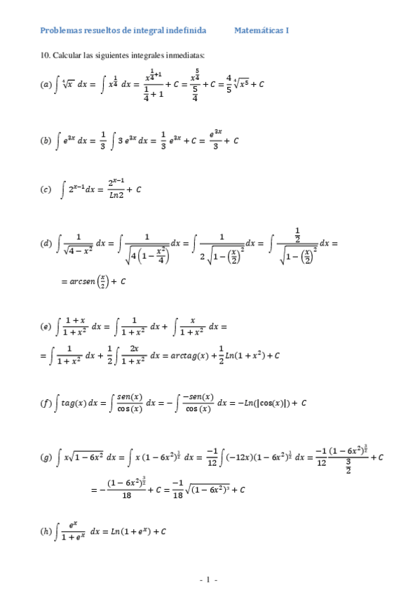
He publicado nuevos ejercicios de 1º Matemáticas: PROBLEMAS RESUELTOS TEMA 8. sistemas de ecuaciones.pdf

4 páginas

He publicado nuevos ejercicios de 1º Matemáticas: Pbtema3(2).pdf

8 páginas

He publicado nuevos ejercicios de 1º Matemáticas: problema resuelto 18 tema integrales dobles.pdf

4 páginas

He publicado nuevos examenes de 1º Fundamentos de Contabilidad: solución mk febrero 2013 publicado.xls

excel

He publicado nuevos apuntes de 1º Finanzas: Práctica en FC. Cap VII. Casos globales.pdf

24 páginas

He publicado nuevos apuntes de 1º Finanzas: EsquemaPráctica123.pdf

1 página

He publicado nuevos ejercicios de 1º Matemáticas: PROBLEMAS RESUELTOS TEMA 9. ECUACIONES Y BASES.pdf

3 páginas

ejercicios

-

Ejercicios Resueltos Integral Definida

He publicado nuevos ejercicios de 1º Matemáticas: Ejercicios Resueltos Integral Definida

problema resuelto 17 tema integral definida.pdf
problema resuelto 16 tema integral definida.pdf
problema resuelto 15 tema integral definida.pdf

He publicado nuevos ejercicios de 1º Matemáticas: Problemas Resueltos Tema 10 DIAGONALIZACION.pdf

5 páginas

He publicado nuevos ejercicios de 1º Matemáticas: problemas resueltos tema 4.pdf

13 páginas

He publicado nuevos ejercicios de 1º Matemáticas: Pbtema2(1).pdf

2 páginas

He publicado nuevos apuntes de 1º Finanzas: Práctica en FC. Resultados de los casos cap 7.pdf

15 páginas

He publicado nuevos examenes de 1º Finanzas: 1er Parcial - Solución Publicada.pdf

4 páginas

He publicado nuevos ejercicios de 1º Matemáticas: PROBLEMAS RESUELTOS TEMA 9. espacio vectorial.pdf

11 páginas

He publicado nuevos apuntes de 3º Investigación de Mercados Iii: Tema 4 IM3.pdf

42 páginas

He publicado nuevos examenes de 2º Contabilidad Para la Dirección Comercial: EXAMEN JUNIO 2013 costes.pdf

7 páginas

He publicado nuevos examenes de 2º Contabilidad Para la Dirección Comercial: Solución Sweet Lite (examen de junio 2014).pdf

6 páginas

He publicado nuevos apuntes de 2º Economía Internacional: Tema 9.pdf

7 páginas

He publicado nuevos examenes de 2º Contabilidad Para la Dirección Comercial: SALMOREJOS.pdf

7 páginas