@piticlin_

16 Publicaciones

1.48k Interacciones

1 Seguidores

0 Siguiendo

Lista de publicaciones de piticlin_

He publicado nuevos examenes de 2º Bioquímica: Preguntas-EXAMEN-bloque-1-corregidas-recopilatorio.pdf

12 páginas

ejercicios

-

PROBLEMAS ENZIMOLOGÍA (1er cuatri)

todos los problemas de cada seminario

Seminario-1.pdf
Seminario-2.pdf
Seminario-3-pt.1.pdf
Seminario-3-pt.-2-graficas.pdf
Seminario-4.pdf
Seminario-5.pdf

ejercicios

-

PROBLEMAS PH Y PUNTO ISOELÉCTRICO explicados(1er cuatri)

todos los problemas de cada seminario

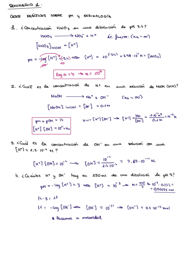
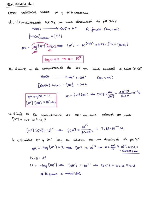
Seminario-l-ph-facil.pdf
Seminario-2-ph-pka-a-tampones....pdf
Seminario-3-punto-isoelectrico.pdf
RESUMEN-ph-y-propiedades-acido-base.pdf

He publicado nuevos apuntes de 1º Física: FORMULAS-FISICA.pdf

4 páginas

He publicado nuevos apuntes de 1º Matemáticas: Examen-matematicas-septiembre-2022.pdf

1 página

He publicado nuevos apuntes de 1º Principios Instrumentales y Metodológicos en Biología de Organismos y Sistemas Ii: Necropsia.pdf

4 páginas

He publicado nuevos trabajos de 1º Principios Instrumentales y Metodológicos en Biología de Organismos y Sistemas Ii: Estima-de-densidad-e-indice-de-abundancia.pdf

3 páginas

He publicado nuevos apuntes de 1º Física: problemasresueltosboletines123857d76f530966d71dadd37c429dd6d68.pdf

6 páginas