@plops_ky

34 Publicaciones

440 Interacciones

2 Seguidores

4 Siguiendo

Lista de publicaciones de plops_ky

apuntes

-

apuntes sistemas de control

He publicado nuevos apuntes de 3º Sistemas de Control: apuntes sistemas de control

apuntes-sistemas-de-control-modulo-3-y-4--PID-y-RL-.pdf

He publicado nuevos apuntes de 3º Mecánica Orbital: mapa-mental-contenidos-de-orbital.png

Imagen

apuntes

-

EJERCICIOS EREA 2025

He publicado nuevos apuntes de 2º Elasticidad y Resistencia en Estructuras Aeronáuticas: EJERCICIOS EREA 2025

1.pdf
2.pdf
4.pdf
5.pdf
6.pdf
7.pdf

apuntes

-

Apuntes Normatica (Completos)

He publicado nuevos apuntes de 2º Normativa y Legislación Aeroespacial: Apuntes Normatica (Completos)

TEMA1FUENTESDELDERECHOENELORDENAMIENDOJURIDICOESPAOL.pdf
TEMA2CAPACIDADNORMATIVAYLEGISLACIONDELASINSTITUCIONESESPANOLAS.pdf
TEMA3NORMATIVAGENERALAERONAUTICA.pdf
TEMA4NORMATIVAESPECFICATEMASDEPRESENTACION.pdf
TEMA5POLTICAYGESTINDELESPACIOAREO.pdf
TEMA6ORGANIZACIONESNACIONALESEINTERNACIONALES..pdf

apuntes

-

Apuntes Señales ( temas David y Luca )

He publicado nuevos apuntes de 2º Señales y Sistemas: Apuntes Señales ( temas David y Luca )

senales-y-sistemas-tema-3--parte-luca-.pdf

apuntes

-

Apuntes Estadistica

He publicado nuevos apuntes de 2º Estadística: Apuntes Estadistica

Estadistica-tema-1-y-2.pdf
estadistica-tema-3-variable-aleatoria-discreta.pdf

apuntes

-

apuntes ampliacion de cálculo

He publicado nuevos apuntes de 1º Ampliación de Cálculo y Ecuaciones Diferenciales: apuntes ampliacion de cálculo

Tema-1-integrales-dobles-y-triples.pdf
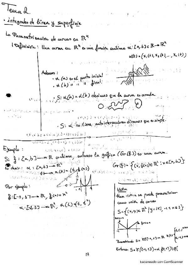
Tema-2-integrales-de-linea-y-superficie.pdf
Tema-3-EDOS.pdf

apuntes

-

apuntes Álgebra 2022 (GUILLERMO)

He publicado nuevos apuntes de 1º Álgebra: apuntes Álgebra 2022 (GUILLERMO)

temas-1-y-2-parte-1.pdf
temas-1-y-2-parte-2.pdf
tema-3.pdf
tema-4.pdf
tema-5.pdf
tema-6.pdf