@portalbertbar

Estudios: Máster en Ingeniería Industrial (UPV) ...Mostrar más

203 Publicaciones

4.07k Interacciones

4 Seguidores

0 Siguiendo

Lista de publicaciones de portalbertbar

apuntes

-

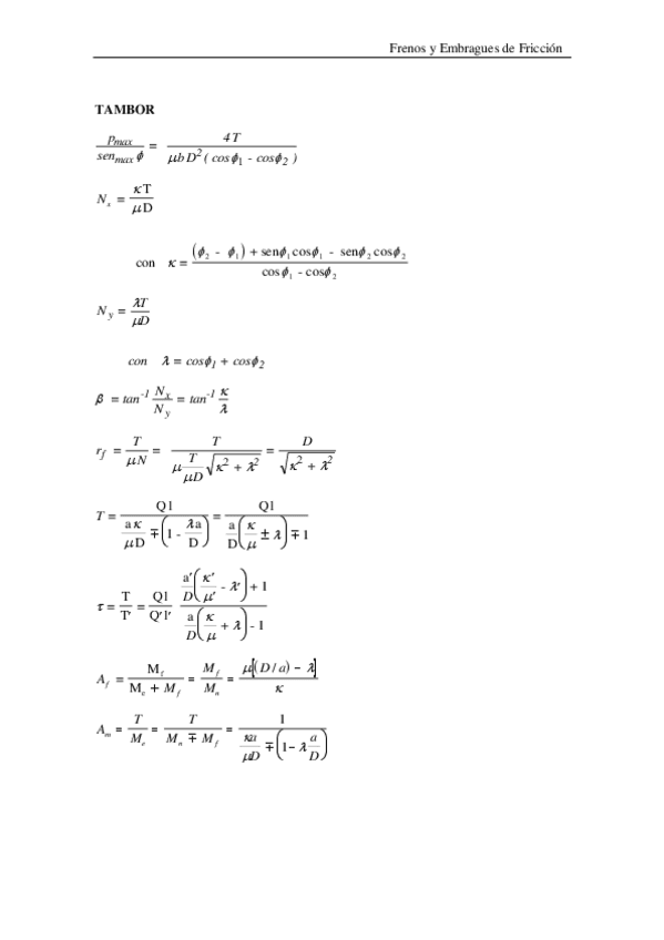
DAEI Frenos y Embragues

He publicado nuevos apuntes de 1º Diseño y aplicación de Equipos Industriales: DAEI Frenos y Embragues

formularioFrenos-y-embragues.pdf
FrenosProb1online.pdf
FrenosProb2online.pdf
FrenosProb3online.pdf
FrenosProb4online.pdf
FrenosProb5online.pdf

ejercicios

-

DAEI Cintas

He publicado nuevos ejercicios de 1º Diseño y aplicación de Equipos Industriales: DAEI Cintas

PROBLEMA-1-CALCULO-DE-CINTAS-TRANSPORTADORAS-I-y-II-Granel-2021-22.pdf
PROBLEMA-2-CALCULO-DE-CINTAS-TRANSPORTADORAS-III-Granel.pdf
PROBLEMA-4-CALCULO-DE-RODILLOS-V-Cargas-aisladas.pdf
PROBLEMA-5-CALCULO-DE-CADENAS-2021-22.pdf
PROBLEMA-DE-APARATOS-DE-ELEVACION-CARGAS-ACTIVIDAD-DE-CLASE-2021-22.pdf
Problema-Estabilidad-Carretillas.pdf

ejercicios

-

Prob Resuelto UD7

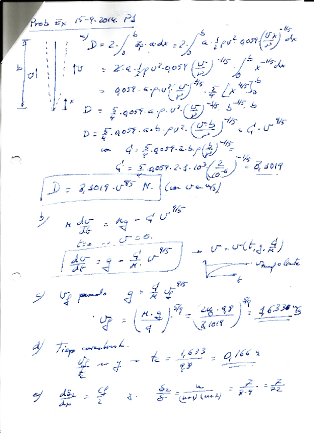
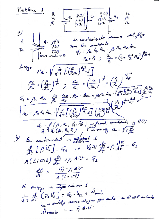
He publicado nuevos ejercicios de 3º Ingeniería de Fluidos: Prob Resuelto UD7

prob-IF-UD7-1-explicado.pdf
prob-IF-UD7-2-explicado.pdf
prob-IF-UD7-4.pdf
prob-IF-UD7-5-explicado.pdf
PROBLEMAS-UD7.pdf
Problemas-Unidos-UD7.pdf

ejercicios

-

Prob Resuelto UD6

He publicado nuevos ejercicios de 3º Ingeniería de Fluidos: Prob Resuelto UD6

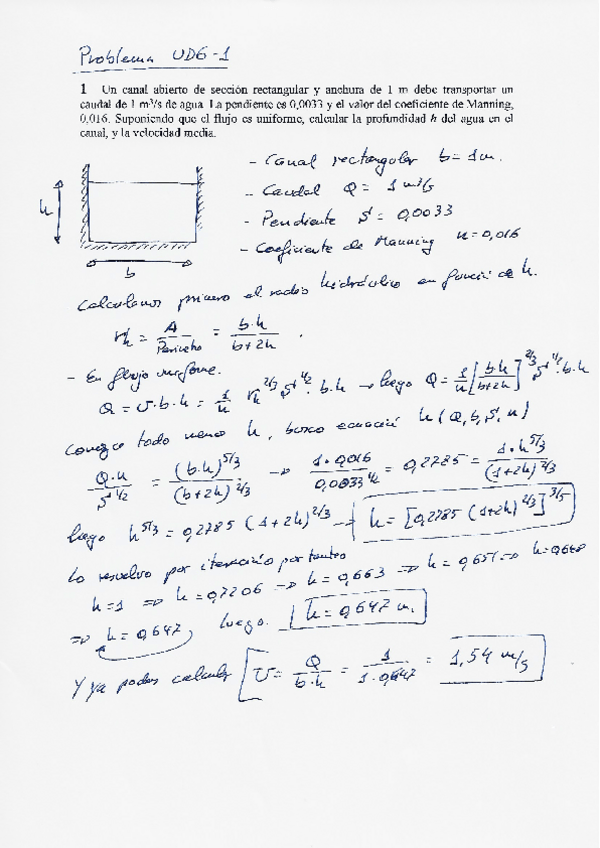
IF-2012-UD6-Prob-Flujo-en-canales.pdf
PROBLEMAS-UD6.pdf
Problemas-Unidos-UD6.pdf

apuntes

-

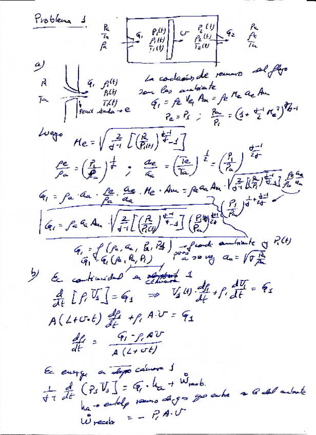
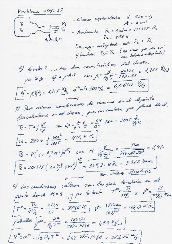
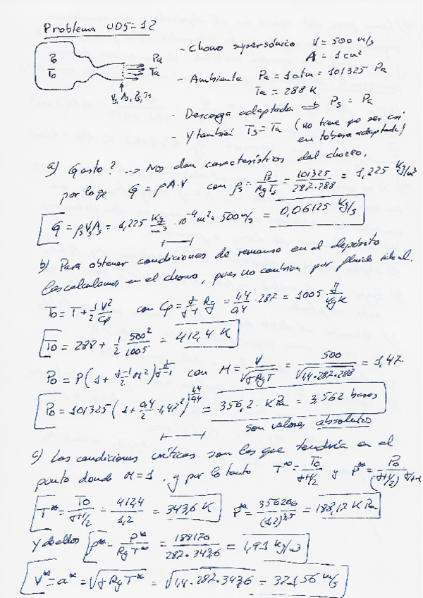
Prob Resuelto UD5

He publicado nuevos apuntes de 3º Ingeniería de Fluidos: Prob Resuelto UD5

Problemas-UD5-Kike.pdf
Problemas-Unidos-UD5.pdf
UD5-134.pdf
UD5-82826147225.pdf
UD5-1213172023.pdf

ejercicios

-

Prob Resuelto UD4

He publicado nuevos ejercicios de 3º Ingeniería de Fluidos: Prob Resuelto UD4

PROBLEMAS-UD4.pdf
Problemas-Unidos-UD4-Viedma.pdf

apuntes

-

Prob Resuelto UD3

He publicado nuevos apuntes de 3º Ingeniería de Fluidos: Prob Resuelto UD3

prob-IF-UD3-1-explicado.pdf
prob-IF-UD3-2-explicado.pdf
prob-IF-UD3-4-explicado.pdf
prob-IF-UD3-8.pdf
prob-IF-UD3-9-explicado.pdf
prob-IF-UD3-12-explicado.pdf

ejercicios

-

Prob Resuelto UD2

He publicado nuevos ejercicios de 3º Ingeniería de Fluidos: Prob Resuelto UD2

prob-IF-UD2-2.pdf
prob-IF-UD2-3-explicado.pdf
prob-IF-UD2-10-explicado.pdf
prob-IF-UD2-11-explicado.pdf
prob-IF-UD2-12-explicado.pdf
prob-IF-UD2-14-explicado.pdf