@PPGRRB

5.52 € • 4.83k EXP

Bio: .

147 Publicaciones

713 Interacciones

4 Seguidores

0 Siguiendo

Lista de publicaciones de PPGRRB

apuntes

-

TEMA 1 FISICA Y MEDICIONES

He publicado nuevos apuntes de 1º Física I: TEMA 1 FISICA Y MEDICIONES

FISICA-TEMA-1.docx
01-ejercicios-Mediciones.pdf

apuntes

-

TEMA 1 (NUMEROS COMPLEJOS)

He publicado nuevos apuntes de 1º Cálculo I: TEMA 1 (NUMEROS COMPLEJOS)

G272-G404Tema01Soluciones.pdf
G272-G404Tema01.pdf
G272-G404Tema01Ejercicios.pdf

examenes

-

Recopilacion Examenes

He publicado nuevos examenes de 1º Física II: Recopilacion Examenes

EJERCICIOS-EXAMEN-Segundo-Parcial-2018-2019.pdf
EXAMEN-FINAL-Junio-Fisica-II-2018-2019-1.pdf

apuntes

-

APUNTES Y EJERCICIOS (TODOS LOS TEMAS)

He publicado nuevos apuntes de 1º Física II: APUNTES Y EJERCICIOS (TODOS LOS TEMAS)

1.pdf
4.pdf
5.pdf
Ejercicios-Induccion-Electromagnetica-Parte-2.pdf
Ejercicios-Induccion-Electromagnetica-Parte-1.pdf
Ejercicios-Fuerza-Magnetica.pdf

apuntes

-

EXAMENES TODOS LOS TEMAS CON SOLUCIONES

He publicado nuevos apuntes de 1º Física I: EXAMENES TODOS LOS TEMAS CON SOLUCIONES

Control-2-2021-2022-SOLUCIONES.pdf
Control-3-2021-2022.pdf
Soluciones-Examen-Enero-2022-P2-P4.pdf
Control-3-2021-2022-SOLUCIONES.pdf
Examen-Enero-2022-GIE-G407.pdf
21-22Finalresuelto.pdf

examenes

-

EXAMENES (RESUELTOS)

He publicado nuevos examenes de 1º Cálculo I: EXAMENES (RESUELTOS)

21-22Parcial1resuelto.pdf
2021parcial2resuelto.pdf

ejercicios

-

ejer Tema 7 DINAMICA SOLIDO RIGUIDO

He publicado nuevos ejercicios de 1º Física I: ejer Tema 7 DINAMICA SOLIDO RIGUIDO

Hoja-de-Problemas-T7.pdf

ejercicios

-

Problemas T6 partículas y colisiones

He publicado nuevos ejercicios de 1º Física I: Problemas T6 partículas y colisiones

Hoja-de-Problemas-T6.pdf

apuntes

-

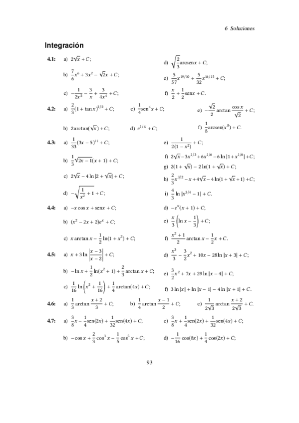
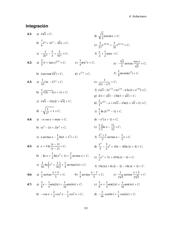
Ejercicios Tema 4 Integrales

He publicado nuevos apuntes de 1º Cálculo I: Ejercicios Tema 4 Integrales

Tema4respuestas.pdf
Ejercicios-04.pdf

apuntes

-

Tema 4 INTEGRALES

He publicado nuevos apuntes de 1º Cálculo I: Tema 4 INTEGRALES

Tema-4.pdf

ejercicios

-

EJERCICIOS TEMA 3 Movimiento Relativo

He publicado nuevos ejercicios de 1º Física I: EJERCICIOS TEMA 3 Movimiento Relativo

Hoja-de-Problemas-T3.pdf
PROBLEMA-RESUELTO-4.5pdf

apuntes

-

TEMA 5 Trabajo y Energía

He publicado nuevos apuntes de 1º Física I: TEMA 5 Trabajo y Energía

TEMA-5-TRABAJO-Y-ENERGIA.pdf

apuntes

-

TEMA 6 MATLAB Series

He publicado nuevos apuntes de 1º Cálculo I: TEMA 6 MATLAB Series

20201103practica6series.pdf

apuntes

-

Tema 4 Leyes del Movimiento

He publicado nuevos apuntes de 1º Física I: Tema 4 Leyes del Movimiento

Tema-4-Leyes-del-Movimiento.pdf

ejercicios

-

Ejercicios C Resueltos

He publicado nuevos ejercicios de 1º Fundamentos de computación: Ejercicios C Resueltos

Programas-resueltos-en-C-procesadoresFabricados.pdf

ejercicios

-

Ejercicios Tema 4 Leyes del movimiento

He publicado nuevos ejercicios de 1º Física I: Ejercicios Tema 4 Leyes del movimiento

Hoja-de-Problemas-T4.pdf

examenes

-

EXAMENES

He publicado nuevos examenes de 1º Física I: EXAMENES

Parcial1-20212022.pdf

apuntes

-

TEMA 3 Movimiento Relativo

He publicado nuevos apuntes de 1º Física I: TEMA 3 Movimiento Relativo

FISICA-TEMA-3-Movimiento-Relativo.pdf

apuntes

-

TEMA2 Funciones reales de variable real

He publicado nuevos apuntes de 1º Cálculo I: TEMA2 Funciones reales de variable real

Tema-2ApuntesDigitales.pdf
Apuntesdigitalestema2.pdf
TEMA2-A-MANO-PARTE1.pdf

apuntes

-

TEMA 5 MATLAB Polinomio de Taylor

He publicado nuevos apuntes de 1º Cálculo I: TEMA 5 MATLAB Polinomio de Taylor

20201027practica5polinomiotaylorsoluciones.pdf