@PpPolitcnicoSup

23 Publicaciones

1.38k Interacciones

2 Seguidores

3 Siguiendo

Lista de publicaciones de PpPolitcnicoSup

He publicado nuevos examenes de 3º Motores Térmicos: preguntas-motores-bien-resueltas.pdf

19 páginas

He publicado nuevos apuntes de 3º Cálculo y Diseño de Máquinas: FORMULARIO COMPLETO.pdf

3 páginas

He publicado nuevos practicas de 3º Tecnología de Fabricación Mecánica: P2TFM.pdf

2 páginas

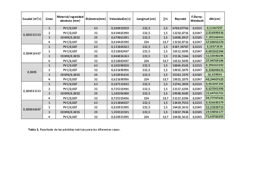
He publicado nuevos practicas de 3º Ingeniería Fluidomecánica: practicafluidos.pdf

6 páginas

He publicado nuevos apuntes de 3º Tecnología de Fabricación Mecánica: P3TFM.pdf

5 páginas

He publicado nuevos examenes de 4º Proyectos I: P1TEORIADIC2018.pdf

5 páginas

He subido el final de elasticidad de junio de este año corregido. No te quedes sin echarle un ojo!!

He publicado nuevos examenes de 2º Elasticidad y Resistencia de Materiales: Final Elast18.pdf

6 páginas

He publicado nuevos examenes de 2º Elasticidad y Resistencia de Materiales: Final Elast18.pdf

6 páginas

He publicado nuevos apuntes de 2º Procesos de Fabricación: procesos de fabricacion.rar

Miniatura no disponible
rar

ejercicios

-

Libro Burbano, Estan Todos los Ejercicios del Boletin Resueltos.

En el boletin los numeros romanos corresponden al tema del libro y el numero al problema

Fisica General - Santiago Burbano.pdf
Capitulo 24 - Principios fundamentales de la electroestatica.pdf
Capitulo 25 - El campo electrico.pdf
Capitulo 26 - La funcion potencial.pdf
Capitulo 27 - El campo electrico . Conductores. Dielectricos. Capacidad.pdf
Capitulo 28 - Corriente Continua.pdf

Aquí esta todo el temario de la asignatura y los ejercicios que os recomendarán.

610 páginas

Cualquier problema avisadme.

29 páginas