@prayforteleco

37 Publicaciones

3.42k Interacciones

10 Seguidores

1 Siguiendo

Lista de publicaciones de prayforteleco

apuntes

-

Resumenes

He publicado nuevos apuntes de 3º Tratamiento Digital de Señales: Resumenes

Resumen-P2220613110501-2.pdf
Resumen-P1220613110426-2.pdf

apuntes

-

Resumenes y recopilación test examen

He publicado nuevos apuntes de 4º Seguridad en Sistemas y Redes de Telecomunicación: Resumenes y recopilación test examen

TEMA-22220604114355.pdf
TEMA-6220604114553.pdf
TEMA-21220604114336.pdf
TEMA-5220604114528.pdf
TEST-SEGU220508202513.pdf
TEMA-3220604114427.pdf

apuntes

-

Chuletas

He publicado nuevos apuntes de 3º Computación en Red: Chuletas

Chuleta-2do-Parcial.pdf
Chuleta-1er-Parcial.pdf

apuntes

-

Resumenes

He publicado nuevos apuntes de 3º Sistemas de energía: Resumenes

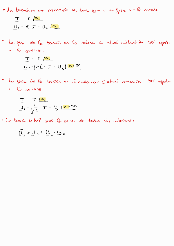
Importante-Monofasica.pdf
Resumen-Trifasica.pdf

ejercicios

-

Entregas

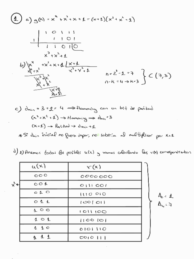
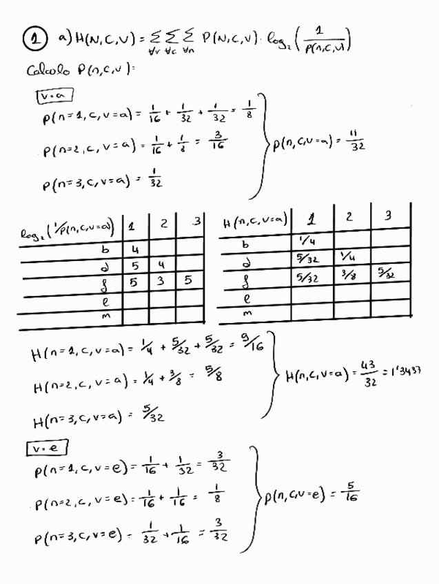
He publicado nuevos ejercicios de 3º Teoría de la Información: Entregas

Entrega-4220508202513.pdf
Test-Emtrega-5220508202513.pdf
Entrega-5220604112452.pdf
Entrega-2220604112406.pdf
Entrega-3220604112426-1.pdf
Entrega1220604112347.pdf

He publicado nuevos apuntes de 3º Sistemas de energía: Resumen-Trafos.pdf

3 páginas

examenes

-

Test Clase ECOM

He publicado nuevos examenes de 3º Electrónica de Comunicaciones: Test Clase ECOM

TEST-EXAMENES.pdf
Test-con-desarrollo.pdf

He publicado nuevos examenes de 2º Redes y Servicios de Telecomunicacion: Ejercicios-Examen.pdf

89 páginas

He publicado nuevos examenes de 3º Teoría de la Información: InkedChuleta2101102045561LI.pdf

2 páginas

He publicado nuevos examenes de 3º Teoría de la Información: Test-examen.pdf

89 páginas

He publicado nuevos apuntes de 3º Radiación y Propagación: Resumen-parcial-2.pdf

8 páginas

examenes

-

Test examen

He publicado nuevos examenes de 2º Análisis y Diseño de Circuitos: Test examen

adctests34.pdf
Test-21-Cuadripolos-GRUPO-25.pdf
PARCIAL-1-ADCT-El-Bueno.pdf
Test-22-Cuadripolos-GRUPO-25.pdf
CUESTIONARIO2-Grupo-25.pdf
Test-final-T1.pdf

He publicado nuevos ejercicios de 2º Señales Aleatorias: EjercicioResueltopage-0001.pdf

1 página

examenes

-

Exámenes de Prácticas

He publicado nuevos examenes de 2º Electrónica e Instrumentación Básicas: Exámenes de Prácticas

Cuestionario-practica-3-resuelto.pdf
GPFE-Cuestionario-P4-Acceso.pdf

He publicado nuevos apuntes de 1º Física General I: 1-FIS1-montero.pdf

214 páginas