@ProfeAS

9 Publicaciones

1.15k Interacciones

0 Seguidores

1 Siguiendo

Lista de publicaciones de ProfeAS

He publicado nuevos practicas de 2º Electrónica: Practica-Amplificador-Operacional-Trabajo-previo.pdf

4 páginas

He publicado nuevos practicas de 2º Electrónica: Practica-Amplificador-RTL-Trabajo-previo.pdf

2 páginas

He publicado nuevos apuntes de 2º Electrónica: Practica-Diodos.pdf

3 páginas

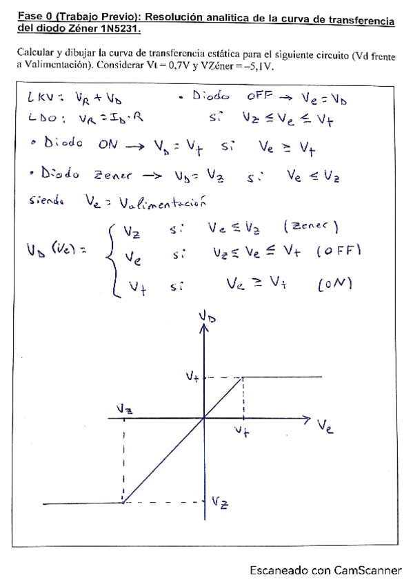
He publicado nuevos practicas de 2º Electrónica: Practica-Diodos-Trabajo-previo.pdf

1 página

He publicado nuevos examenes de 3º Instalaciones Eléctricas: Cuestionario-4-Puesta-a-tierra.pdf

6 páginas

He publicado nuevos examenes de 3º Instalaciones Eléctricas: Cuestionario-5-Proteccion-frente-a-contactos.pdf

6 páginas

He publicado nuevos examenes de 3º Instalaciones Eléctricas: Cuestionario-3-Prevision-de-cargas.pdf

6 páginas

He publicado nuevos examenes de 3º Instalaciones Eléctricas: Cuestionario-2-Diseno-de-instalaciones.pdf

8 páginas

He publicado nuevos examenes de 3º Instalaciones Eléctricas: Cuestionario-1-Sistemas-electricos.pdf

5 páginas