@profedefyq

Bio: Profesora de Física y Química, de la ESO y Bachillerato, en un Instituto de La Rioja.

11 Publicaciones

94 Interacciones

1 Seguidores

0 Siguiendo

Lista de publicaciones de profedefyq

Tema 1 La revolución capitalista Libro Economía de equipo CORE. Resumen.

19 páginas

Enunciados de los ejercicios de la EBAU de Campo gravitatorio de La Rioja desde 2017.

1 página

Todos los ejercicios de Física atómicade la EBAU de La Rioja, desde 2017. Con sus soluciones detalladas.

15 páginas

Todos los ejercicios de relatividad especial de la EBAU de La Rioja, desde 2017. Con sus soluciones detalladas.

11 páginas

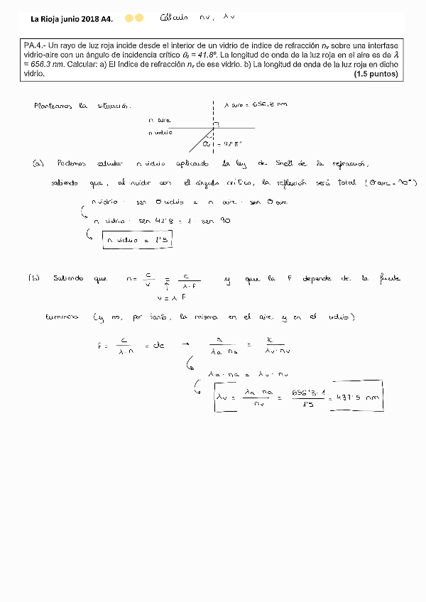
Todos los ejercicios de óptica física de la EBAU de La Rioja, desde 2017. Con sus soluciones detalladas.

11 páginas

Todos los ejercicios de óptica geométrica de la EBAU de La Rioja, desde 2017. Con sus soluciones detalladas.

25 páginas

Todos los ejercicios de ondas, movimiento armónico y ondulatorio, de la EBAU de La Rioja, desde 2017. Con sus soluciones detalladas.

14 páginas

Todos los ejercicios de campo magnético de la EBAU de La Rioja, desde 2017. Con sus soluciones detalladas.

28 páginas

Todos los ejercicios de la PAU y EBAU de La Rioja del tema de inducción, resueltos. Con sus soluciones detalladas.

8 páginas

Todos los ejercicios de campo eléctrico de la EBAU de La Rioja, desde 2017. Con sus soluciones detalladas.

43 páginas

He publicado nuevos examenes de Física: Resoluciones-EBAU-La-Rioja-desde-2017-Campo-gravitatorio.pdf

29 páginas