@puesvale22

9 Publicaciones

446 Interacciones

0 Seguidores

0 Siguiendo

Lista de publicaciones de puesvale22

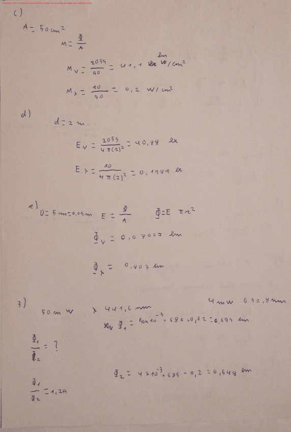
He publicado nuevos apuntes de 2º óptica Geométrica Ii: relacion-11.pdf

5 páginas

apuntes

-

ejercicios varios radiometria

He publicado nuevos apuntes de 2º óptica Geométrica Ii: ejercicios varios radiometria

https://www.cis.rit.edu/class/simg401/Radiometry_Problems_Solutions.pdf
http://emmanuel.hourdequin.free.fr/documents/BTS_BAT_TP/cours/exercices_photometrie.pdf
http://emmanuel.hourdequin.free.fr/documents/BTS_BAT_TP/cours/correction_exo_photometrie.pdf

He publicado nuevos apuntes de 2º óptica Geométrica Ii

http://paristech.institutoptique.fr/site.php?id=798&fileid=8809

ejercicios

-

Resolucion problemas

He publicado nuevos ejercicios de 2º óptica Fisiológica I: Resolucion problemas

RESOL-1aparte-Tema4.doc
RESOL-Temas-1-y-2-1.doc
RESOL-Tema-3.doc
RESOL-2aparte-Tema4.doc