@Pv6lx

Estudios: Grado en Ingeniería Informática (UMA) ...Mostrar más

Bio:

29 Publicaciones

2.18k Interacciones

1 Seguidores

1 Siguiendo

Lista de publicaciones de Pv6lx

He publicado nuevos ejercicios de 1º ESTRUCTURAS ALGEBRÁICAS PARA LA COMPUTACIÓN: Relacion-8-resulelta-2024.pdf

4 páginas

He publicado nuevos examenes de 4º Negocio Electrónico: Segundo-parcial-2023.pdf

11 páginas

He publicado nuevos examenes de 4º Negocio Electrónico: Primer-parcial.pdf

11 páginas

He publicado nuevos examenes de 1º Fundamentos Físicos de la Informática: Examen-FInal-2019-fisica.pdf

2 páginas

He publicado nuevos apuntes de 2º Programación de Sistemas y Concurrencia: Enunciado-restaurante.pdf

3 páginas

He publicado nuevos examenes de 2º Programación de Sistemas y Concurrencia: Parcial-C-Abril2020.pdf

3 páginas

examenes

-

Tipo test Parcial 2020 Software

He publicado nuevos examenes de 2º Introducción a la ingeniería del software: Tipo test Parcial 2020 Software

Examen-Parcial-Teoria-2020-1.pdf
ExamenParcialTeoria2020-2.pdf

practicas

-

Practicas

He publicado nuevos practicas de 2º Sistemas Operativos: Practicas

clasifica.pdf
backup.pdf
ejemplofor2.pdf
filedircount.pdf
ejemploif.pdf
backup3.pdf

He publicado nuevos examenes de 1º Programación Orientada a Objetos: ProOriObj5104-19-A-Control-practico-2.pdf

6 páginas

examenes

-

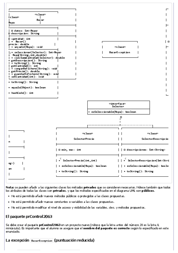
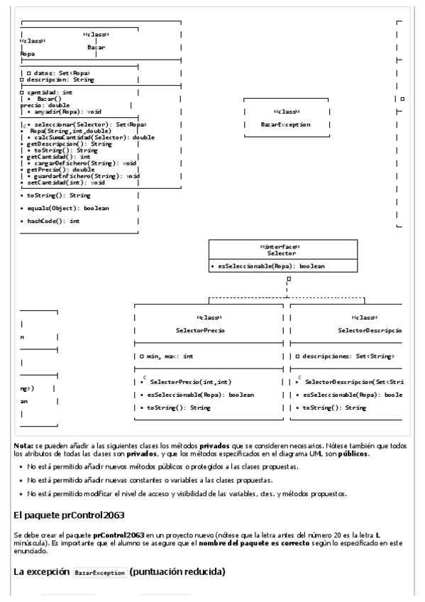
Examen parcial prBazar solucion y enun

He publicado nuevos examenes de 1º Programación Orientada a Objetos: Examen parcial prBazar solucion y enun

Bazar.pdf
BazarException.pdf
PruebaRopa.pdf
Ropa.pdf
Examen-parcial-POO.pdf

examenes

-

Examen parcial prSeries Solucion y enun

He publicado nuevos examenes de 1º Programación Orientada a Objetos: Examen parcial prSeries Solucion y enun

prSeries.pdf
prSeries-enun.pdf

He publicado nuevos examenes de 1º Metodos Estadisticos para la Computacion: Examen-Estadistica-Junio-2019.pdf

1 página

He publicado nuevos practicas de 2º Sistemas Operativos: Practica-2-shell-scripts.zip

Miniatura no disponible
zip

He publicado nuevos apuntes de 1º Metodos Estadisticos para la Computacion: New Doc 2019-03-22 12.47.43.pdf

7 páginas