@rafapardo_15

29 Publicaciones

629 Interacciones

1 Seguidores

0 Siguiendo

Lista de publicaciones de rafapardo_15

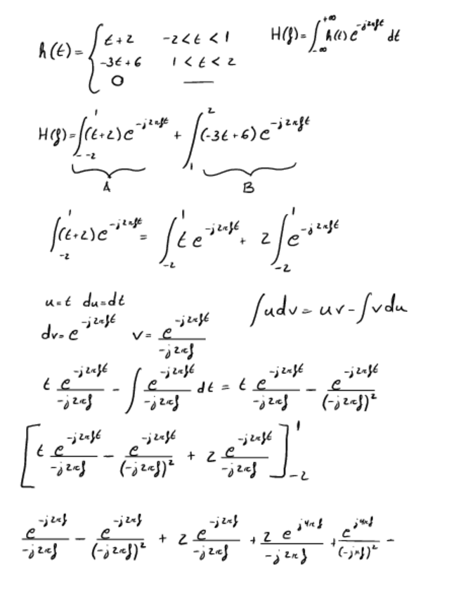
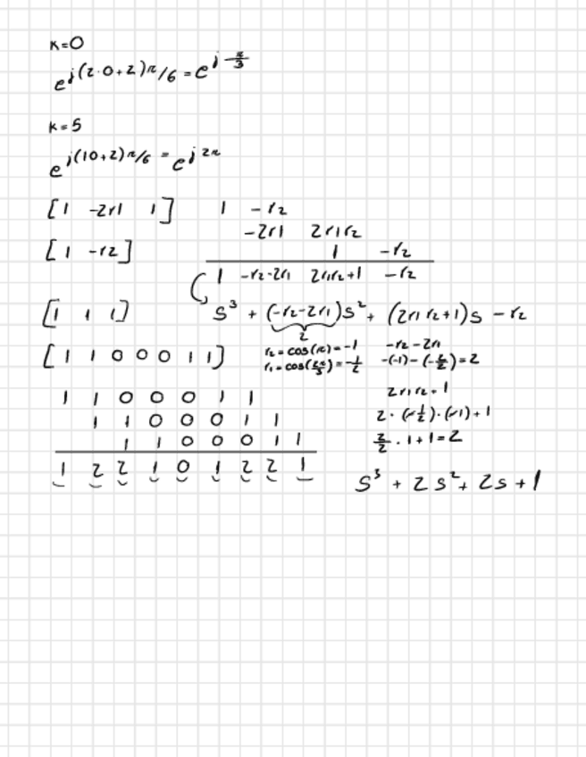
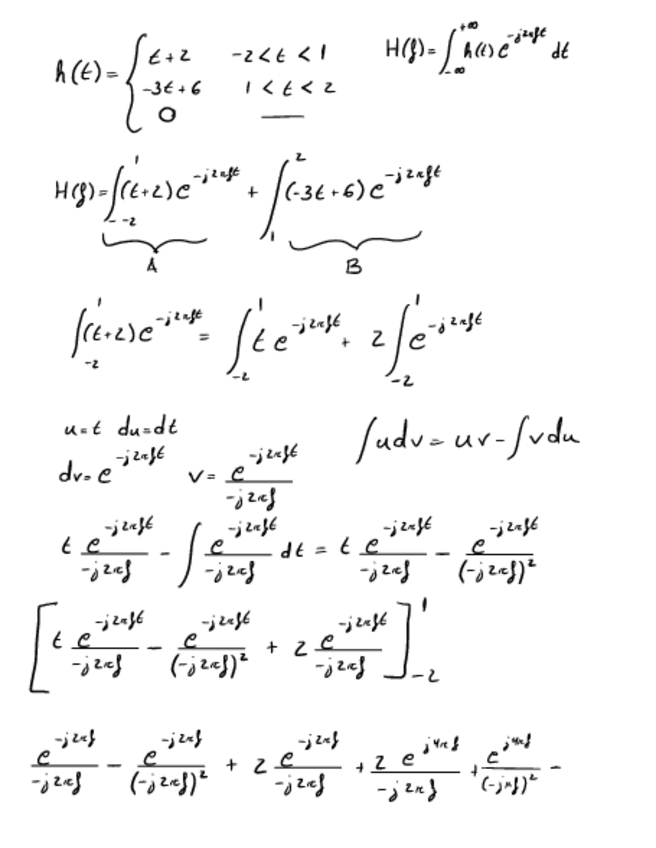
He publicado nuevos apuntes de 4º Redes Multimedia (Especialidad Telemática): Apuntes.pdf

46 páginas

He publicado nuevos apuntes de 2º Sistemas Telemáticos: complementarios-tema-5.pdf

22 páginas

He publicado nuevos apuntes de 2º Sistemas Telemáticos: basicos-tema-5-1.6-y-2.pdf

23 páginas

practicas

-

Trabajos previos

He publicado nuevos practicas de 1º Fundamentos Físicos de la Ingeniería: Trabajos previos

Trabajo-Previo-4.pdf
Trabajo-Previo-2-3.pdf
Trabajo-Previo-0.pdf
Trabajo-Previo-3.pdf
Trabajo-Previo-1.pdf

He publicado nuevos apuntes de 1º Componentes y circuitos electrónicos: Ejercicios-Importantes.pdf

36 páginas

apuntes

-

Prácticas Sistemas

He publicado nuevos apuntes de 1º Sistemas Lineales: Prácticas Sistemas

Practica-4.pdf
Practica-3.pdf
Practica-5.pdf
Practica-4-Pre.pdf

apuntes

-

Seminarios

He publicado nuevos apuntes de 1º Sistemas Lineales: Seminarios

Seminario-3.pdf
Seminario-4.pdf
Seminario-3.pdf
Seminario-1.pdf
Seminario-2.pdf

trabajos

-

Trabajos Ingeniería

He publicado nuevos trabajos de 1º Ingeniería, Empresa y Sociedad: Trabajos Ingeniería

La-ingenieria-de-telecomunicaciones-desde-una-perspectiva-local-1.pdf
ODS.pdf

practicas

-

Exposición canal rayleigh

He publicado nuevos practicas de 2º Teoría de la Comunicación: Exposición canal rayleigh

canal-rayleigh.pdf
guion-canal-rayleigh.pdf

apuntes

-

Prácticas cce

He publicado nuevos apuntes de 1º Componentes y circuitos electrónicos: Prácticas cce

Practica2cce-2.pdf
Practicacce4-1.pdf
Practica1cce.pdf

apuntes

-

Prácticas Física

He publicado nuevos apuntes de 1º Fundamentos Físicos de la Ingeniería: Prácticas Física

Practica-3.pdf
Practica4.pdf
Practica-2.pdf
Practica-1-1.pdf