@RafaxD

Bio: Actualmente ya soy físico pero para los que estáis en proceso, disfrutad de mis apuntes

63 Publicaciones

3.93k Interacciones

3 Seguidores

0 Siguiendo

Lista de publicaciones de RafaxD

He publicado nuevos practicas de 4º Técnicas Experimentales II: Linea-de-transmision.pptx

Miniatura no disponible
powerpoint

practicas

-

Presentaciones nuclear

He publicado nuevos practicas de 4º Técnicas Experimentales II: Presentaciones nuclear

Miniatura no disponible
Alfa.pptx
Miniatura no disponible
Geiger-Muller.pptx
Miniatura no disponible
Rayos-X.pptx
Miniatura no disponible
Semivida.pptx
Miniatura no disponible
Fluorescencia.pptx
Miniatura no disponible
Gamma.pptx

examenes

-

Examen nuclear con solución

He publicado nuevos examenes de 4º Técnicas Experimentales II: Examen nuclear con solución

Examen-teoria-TE-II-nuclear-20-21.pdf
Solucion.pdf

trabajos

-

Entregables Cillero

He publicado nuevos trabajos de 4º Partículas elementales: Entregables Cillero

91-1.pdf
EntregableParticulas-1-1.pdf

He publicado nuevos trabajos de 3º Termodinámica del No Equilibrio: Entregable.pdf

4 páginas

practicas

-

Laboratorios Cillero (de 10)

He publicado nuevos practicas de 4º Partículas elementales: Laboratorios Cillero (de 10)

Practica-1-Discusion.pdf
Miniatura no disponible
Practica-1-.html
Miniatura no disponible
Practica-2.html
Practica-2-Discusion.pdf

He publicado nuevos practicas de 4º Física Nuclear: Plastico-Beta.pdf

18 páginas

He publicado nuevos practicas de 4º Física Nuclear: Informe-Beta.pdf

14 páginas

He publicado nuevos practicas de 3º Laboratorio de Fisica Iii: RLCpaper-3.pdf

12 páginas

practicas

-

Electromagnetism questionaries

He publicado nuevos practicas de 3º Laboratorio de Fisica Iii: Electromagnetism questionaries

Resonance-questionary.pdf
Hall-effect-questionary-2.pdf
Hysteresis-questionary.pdf

practicas

-

Informes de óptica geniales

He publicado nuevos practicas de 3º Laboratorio de Fisica Iii: Informes de óptica geniales

Lupa-y-microscopio.pdf
Young.pdf
Lentes.pdf
Vision-y-telescopios.pdf
Fabry-Perot.pdf
Polarizacion.pdf

He publicado nuevos trabajos de 4º Simetrías y Grupos en Física: Entregable-6.pdf

4 páginas

practicas

-

Memorias practicas 5 7 y 8 Bernabe

He publicado nuevos practicas de 2º Mecánica y Ondas: Memorias practicas 5 7 y 8 Bernabe

Memoria-5.pdf
Memoria-8.pdf
Memoria-7.pdf

He publicado nuevos practicas de 2º Termodinámica: Memoria-Entalpia-Vaporizacion.pdf

13 páginas

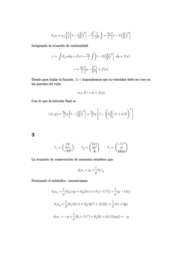
He publicado nuevos ejercicios de 3º Mecánica de Medios Continuos: RodriguezVelascoRafaelHoja6.pdf

7 páginas

He publicado nuevos ejercicios de 3º Mecánica de Medios Continuos: RodriguezVelascoRafaelHoja5.pdf

5 páginas

He publicado nuevos ejercicios de 3º Mecánica de Medios Continuos: RodriguezVelascoRafaelHoja4.pdf

7 páginas

He publicado nuevos trabajos de 4º Física Nuclear: RodriguezVelascoRafaelestabilidad.pdf

6 páginas