@Raquelml

95 Publicaciones

3.89k Interacciones

7 Seguidores

0 Siguiendo

Lista de publicaciones de Raquelml

apuntes

-

APUNTES 2020-2021

He publicado nuevos apuntes de 4º Bases Moleculares de las Enfermedades Neurodegenerativas: APUNTES 2020-2021

T2.ENVEJECIMIENTO.pdf
T3. EPILEPSIAS.pdf
T5.ICTUS/STROKES.pdf
T7. HUNTINGTON.pdf
T4. ALZHEIMER.pdf
T9.GLIOMAS.pdf

apuntes

-

OMGs 2020-2021

Javier Galán

Tema-1.pdf
Tema-2.pdf
tema-2.pdf
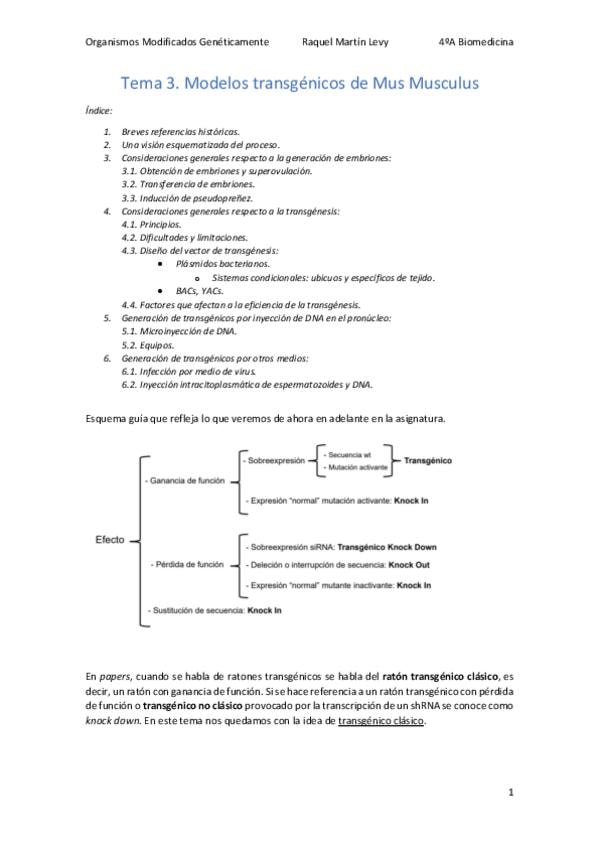
Tema-3.pdf
tema-4-omgs.pdf
tema-5-omgs.pdf

apuntes

-

APUNTES 2019-2020

He publicado nuevos apuntes de 3º Genética Humana: APUNTES 2019-2020

T1-CROMOSOMAS-HUMANOS.pdf
T2-REPRODUCCION-HUMANA.pdf
T3-ANOMALIAS-CROMOSOMICAS-NUMERICAS.pdf
T4-ALTERACIONES-CROMOSOMICAS-ESTRUCTURALES-2.pdf
T5.2.pdf
T5.1.pdf

He publicado nuevos apuntes de 2º Genética Molecular y del Desarrollo: TECNICAS-GENETICA.pdf

5 páginas

apuntes

-

ESQUEMAS GENÉTICA MOLECULAR

He publicado nuevos apuntes de 2º Genética Molecular y del Desarrollo: ESQUEMAS GENÉTICA MOLECULAR

ESQUEMA-REPLICACION T3-T4
ESQUEMA T5 REPARACIÓN DNA.pdf
T6-T7-transcripcion.pdf
T8 PROCESAMIENTO-RNA.pdf
T10-T11-Traduccion-.pdf
T12-T13-T14-T15-REGULACION-GENETICA.pdf

apuntes

-

CUADRO RESUMEN PARÁSITOS Y BACTERIAS

He publicado nuevos apuntes de 3º Microbiología Médica: CUADRO RESUMEN PARÁSITOS Y BACTERIAS

T7-CUADRO-RESUMEN.pdf
T8-PARASITOS-.pdf