@RayoMcqueen

Bio: CACHAU

4 Publicaciones

423 Interacciones

1 Seguidores

0 Siguiendo

Lista de publicaciones de RayoMcqueen

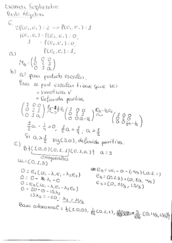
En el ejercicio 6, el apartado a) la matriz esta mal construida, ya que f(e1,e2) y su simetrico, deberían ser 1. Quitando eso los pasos siguientes están bien.

5 páginas

He publicado nuevos examenes de 1º Métodos Matemáticos para Estadística III: EXAMEN-PARCIAL-JUNIO-2019.pdf

5 páginas

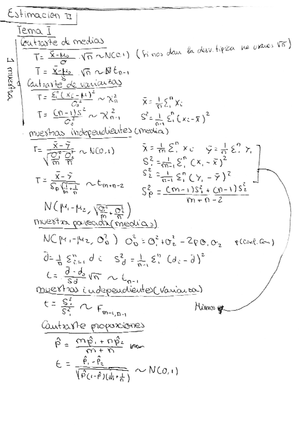
He publicado nuevos apuntes de 2º Estimación II: TEMAS-1-Y-3-ESTIMAVION-II-GLOSARIO.pdf

2 páginas

He publicado nuevos apuntes de 2º Sistema Estadístico e Indicadores Económicos: Economia-a-estudiar.pdf

6 páginas