@ReichBezares

17 Publicaciones

636 Interacciones

8 Seguidores

0 Siguiendo

Lista de publicaciones de ReichBezares

He publicado nuevos ejercicios de 1º Matemáticas II: SistemasDeEDOs.pdf

5 páginas

Todos los ejercicios del tema 2 del pdf de EDO

7 páginas

He publicado nuevos apuntes de 1º Matemáticas II: Resumen-Sistemas-De-EDOs.pdf

2 páginas

He publicado nuevos apuntes de 1º Matemáticas II: Resumen-EDO-T1.pdf

2 páginas

He publicado nuevos apuntes de 1º Matemáticas II: Resumen-EDO-De-Orden-Superior.pdf

2 páginas

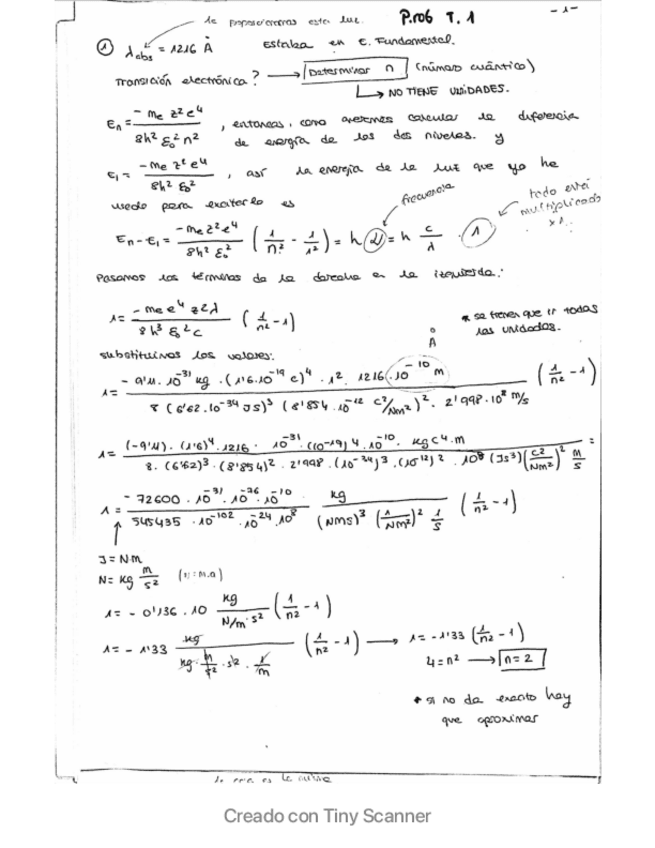
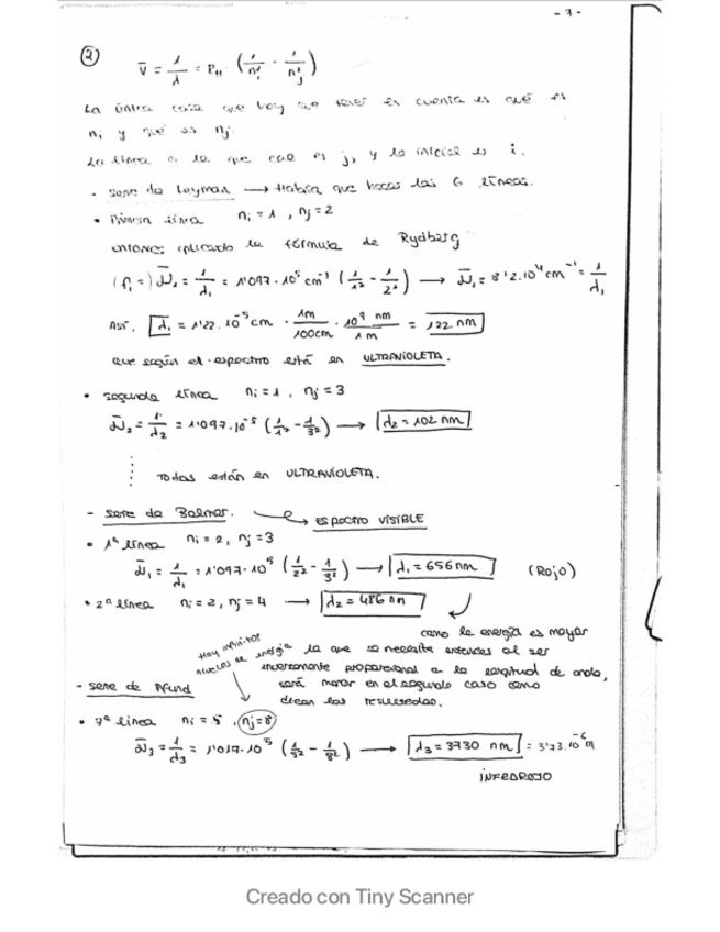
He publicado nuevos ejercicios de 1º Química: Cuestiones-Tema-4.pdf

3 páginas

He publicado nuevos ejercicios de 1º Química: Tema-3-Ejercicios-resueltos--entregables.pdf

8 páginas

He publicado nuevos ejercicios de 1º Química: T2-ejercicios-claseentragbles.pdf

12 páginas

He publicado nuevos examenes de 1º Química: Final-Resuelto-Raquel-2022.pdf

7 páginas

He publicado nuevos examenes de 1º Química: Parcial-Resuelto-Raquel-2022.pdf

8 páginas

He publicado nuevos ejercicios de 1º Química: Ejercicios-T1-1er-parcial.pdf

12 páginas

He publicado nuevos ejercicios de 1º Química: T8-Reacciones-Redox.pdf

9 páginas

He publicado nuevos ejercicios de 1º Química: T7-Solubilidad-EjerciciosClase.pdf

8 páginas

He publicado nuevos ejercicios de 1º Química: T6-Acido-Base-ejercicios-claseentregables.pdf

11 páginas

He publicado nuevos ejercicios de 1º Química: T5-Equilibrio-Quimico-ejercicios-claseentregablesresueltos.pdf

9 páginas