@rgc

79 Publicaciones

1.28k Interacciones

0 Seguidores

0 Siguiendo

Lista de publicaciones de rgc

He publicado nuevos examenes de 2º Contabilidad Para la Gestión en el Sector Turístico: contabilidad primer parcial.pdf

4 páginas

He publicado nuevos apuntes de 4º Derecho Privado del Empresario Turístico: DERECHO PRIVADO TEMARIO COMPLETO.pdf

75 páginas

Preguntas que han entrado en exámenes anteriores.

2 páginas

He publicado nuevos examenes de 2º Contabilidad Para la Gestión en el Sector Turístico: EXAMEN SEPTIEMBRE 2016.pdf

2 páginas

He publicado nuevos apuntes de 2º Territorio, Turismo y Desarrollo Sostenible: ACTIVIDAD A ENTREGAR TEMA 3.pdf

5 páginas

He publicado nuevos apuntes de 4º Derecho Privado del Empresario Turístico: TEMA 11 RODRIGO.pdf

3 páginas

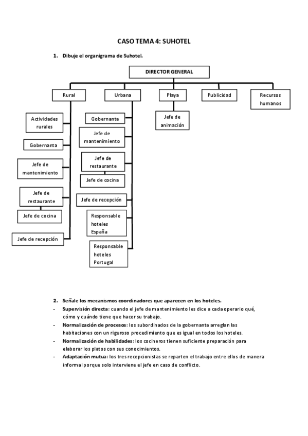
He publicado nuevos apuntes de 2º Direccion y Organizacion de Empresas Turisticas: CASO 4.pdf

2 páginas

He publicado nuevos apuntes de 3º Dirección Estratégica de Organizaciones Turísticas: CASO TEMA 5.pdf

2 páginas

He publicado nuevos examenes de 2º Estructura de Mercados: TEMA 3 Y 4 (PARTE 2).jpg

Imagen

He publicado nuevos apuntes de 2º Estructura de Mercados: TEMA 3 Y 4 (PARTE 4).jpg

Imagen

He publicado nuevos apuntes de 2º Direccion y Organizacion de Empresas Turisticas: CASO 1.pdf

3 páginas

He publicado nuevos apuntes de 2º Territorio, Turismo y Desarrollo Sostenible: Actividad a entregar tema 2.pdf

2 páginas

He publicado nuevos apuntes de 2º Direccion y Organizacion de Empresas Turisticas: CASO 6.pdf

1 página

He publicado nuevos apuntes de 3º Análisis Geográfico del Turismo en Andalucía: tema2climas.pdf

20 páginas

He publicado nuevos apuntes de 2º Territorio, Turismo y Desarrollo Sostenible: CODIGO ETICO MUNDIAL PARA EL TURISMO.pdf

2 páginas

He publicado nuevos examenes de 1º Fundamentos de Contabilidad: IMG-20140125-WA0011.jpg

Imagen

He publicado nuevos apuntes de 1º Fundamentos de Contabilidad: IMG-20140125-WA0010.jpg

Imagen

He publicado nuevos examenes de 1º Fundamentos de Contabilidad: IMG-20140125-WA0014.jpg

Imagen

He publicado nuevos apuntes de 4º Derecho Privado del Empresario Turístico: tema 12 - derecho privado . Encarna.pdf

11 páginas

He publicado nuevos apuntes de 3º Dirección Estratégica de Organizaciones Turísticas: CASO TEMA 1.pdf

2 páginas