@Ricardo_Moria

55 Publicaciones

3.28k Interacciones

2 Seguidores

0 Siguiendo

Lista de publicaciones de Ricardo_Moria

He publicado nuevos apuntes de 3º Geometría Diferencial y Cálculo Tensorial: formulario geometria.pdf

15 páginas

ejercicios

-

Entregables resueltos

He publicado nuevos ejercicios de 3º Mecánica de Medios Continuos: Entregables resueltos

soluciones_Prob_MMC_5.pdf
Problemas_Prob_MMC_2.pdf
soluciones_Prob_MMC_4.pdf
soluciones_Prob_MMC_6.pdf
soluciones_Prob_MMC_7.pdf
soluciones_Prob_MMC_3.pdf

He publicado nuevos practicas de 1º Laboratorio de Computación Científica: PRACTICA 1. Computacion cientifica.doc.pdf

40 páginas

examenes

-

Examenes resueltos

He publicado nuevos examenes de 2º Electromagnetismo II: Examenes resueltos

Junio 2017.pdf
Septiembre 2016.pdf
Junio 2015.pdf
Septiembre 2015.pdf
Septiembre 2017.pdf
Septiembre 2010.pdf

He publicado nuevos apuntes de 2º Laboratorio de Física II: ResumenErrores.pdf

2 páginas

He publicado nuevos apuntes de 3º Laboratorio de Fisica Iii: ResumenErrores.pdf

2 páginas

He publicado nuevos apuntes de 1º Laboratorio de Física I: ApuntesMATLABMOM.pdf

134 páginas

He publicado nuevos apuntes de 3º Física del Estado Sólido: estadosolido.pdf

2 páginas

He publicado nuevos apuntes de 1º Laboratorio de Física I: ResumenErrores.pdf

2 páginas

He publicado nuevos apuntes de 3º Laboratorio de Fisica Iii: signos latex.pdf

20 páginas

apuntes

-

Diapositivas clase fundamentos 2

He publicado nuevos apuntes de 1º Fundamentos de Física Ii: Diapositivas clase fundamentos 2

Tema1c-Condensadores capacidad.pdf
Tema2c-Magnetismo de la materia.pdf
Tema1d-Corriente eléctrica.pdf
Tema1a-Campo eléctrico.pdf
Tema3c-Corriente alterna en circuitos-1.pdf
Tema3b-Autoinducción y circuitos LR y LC.pdf

apuntes

-

apuntes cuantica

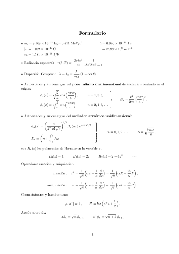
He publicado nuevos apuntes de 2º Física Cuántica I: apuntes cuantica

FCI-resumen-tema-4.pdf
FCI-resumen-tema-5.pdf
FCI-resumen-tema-1.pdf
FCI-resumen-tema-2.pdf
FCI-Integrales.pdf
FCI-formulario.pdf

apuntes

-

apuntes de la mega leche de electro

He publicado nuevos apuntes de 2º Electromagnetismo II: apuntes de la mega leche de electro

Resumen Tema 5.pdf
Resumen Tema 6.pdf
Apuntes Electromagnetismo II.pdf

He publicado nuevos practicas de 3º Laboratorio de Fisica Iii: young.pdf

7 páginas

He publicado nuevos apuntes de 3º Laboratorio de Fisica Iii: fraun.pdf

9 páginas

He publicado nuevos practicas de 3º Laboratorio de Fisica Iii: Michelson.pdf

4 páginas

He publicado nuevos apuntes de 3º Laboratorio de Fisica Iii: Laboratorio de física III.pdf

267 páginas