@RJavierSanchez

1 Publicaciones

103 Interacciones

0 Seguidores

0 Siguiendo

Lista de publicaciones de RJavierSanchez

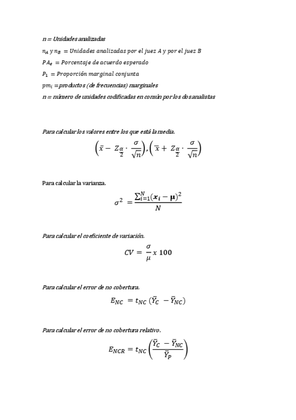
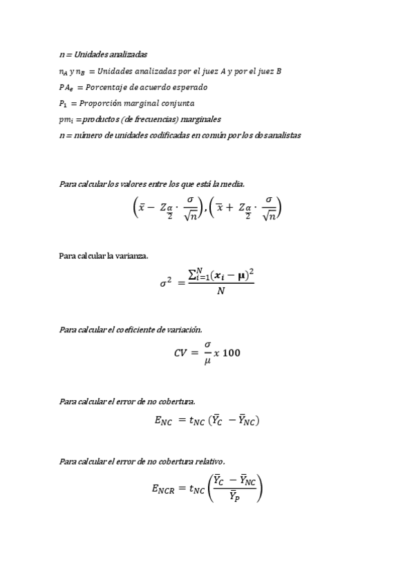
Todas las fórmulas

5 páginas