@rlp22

29 Publicaciones

1.54k Interacciones

2 Seguidores

0 Siguiendo

Lista de publicaciones de rlp22

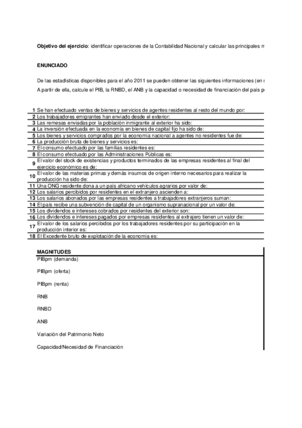
He publicado nuevos examenes de 2º Inversión y Financiación en la Empresa: EXAMEN-INVERSION-1.pdf

1 página

ejercicios

-

ECONOMIA INTERNACIONAL

He publicado nuevos ejercicios de 2º Economía Internacional: ECONOMIA INTERNACIONAL

TEMA-1-Ejercicio-0-ECONOMIA-INTERNACIONAL.pdf
Tema-1-Ejercicio-1.pdf
Tema-1-Ejercicio-1b.pdf
Tema-1-Ejercicio-4-.pdf
Tema-1-Ejercicio-5.pdf
Tema-1-Ejercicio-6.pdf

ejercicios

-

EJERCICIOS DEL TEMA 2 AL 10

He publicado nuevos ejercicios de 2º Macroeconomía Intermedia: EJERCICIOS DEL TEMA 2 AL 10

EJERCIOS-Y-SOLUCIONES-TEMA-2.pdf
EJERCICIOS-Y-SOLUCIONES-TEMA-3.pdf
EJERCICIOS-Y-SOLUCIONES-TEMA-4.pdf
EJERCICIOS-Y-SOLUCIONES-TEMA-5.pdf
EJERCICIOS-Y-SOLUCIONES-TEMA-6.pdf
EJERCICIOS-Y-SOLUCIONES-TEMA-7.pdf

He publicado nuevos examenes de 2º Macroeconomía Intermedia: EXAMEN-MACROECONOMIA-ORDINARIO-Y-EXTRAORDINARIO.pdf

6 páginas