@Rodcar

15 Publicaciones

737 Interacciones

3 Seguidores

0 Siguiendo

Lista de publicaciones de Rodcar

Todo lo que puede entrar de teoría punto por punto del libro.

2 páginas

He publicado nuevos apuntes de 1º Matemáticas III: Lección 2 - Funciones Vectoriales.pdf

17 páginas

He publicado nuevos apuntes de 1º Matemáticas III: Lección 1 - Derivadas Parciales.pdf

32 páginas

He publicado nuevos apuntes de 1º Estadística e Investigación Operativa: Tabla Resumen DISTRIBUCIONES DISCRETAS Y CONTINUAS.pdf

2 páginas

He publicado nuevos apuntes de 1º Estadística e Investigación Operativa: Bloque 2 - Variable Aleatoria Real.pdf

12 páginas

He publicado nuevos apuntes de 1º Estadística e Investigación Operativa: Bloque 1 - Espacios Probabilísticos.pdf

4 páginas

He publicado nuevos apuntes de 1º Estadística e Investigación Operativa: Bloque 3 - Variable Aleatoria Bidimensional.pdf

6 páginas

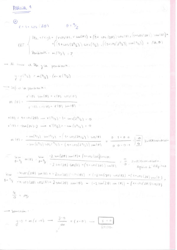
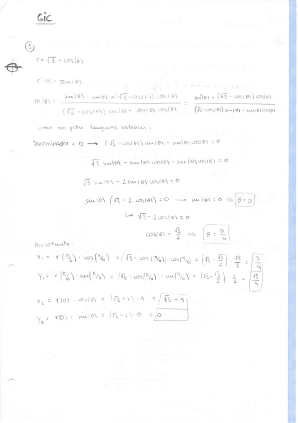
He publicado nuevos examenes de 1º Matemáticas II: Primer Parcial GIC RESUELTO 2015-2016.pdf

9 páginas

He publicado nuevos examenes de 1º Matemáticas II: Primer Parcial GIC RESUELTO 2016-2017.pdf

6 páginas

He publicado nuevos examenes de 1º Matemáticas II: Primer Parcial GITI RESUELTO 2016-2017.pdf

9 páginas

He publicado nuevos apuntes de 1º Matemáticas II: ECUACIONES DIFERENCIALES.pdf

13 páginas

He publicado nuevos ejercicios de 1º Empresa: Ejemplo de COE.pdf

1 página

He publicado nuevos apuntes de 1º Matemáticas II: POLINOMIOS DE TAYLOR.pdf

32 páginas

He publicado nuevos examenes de 1º Matemáticas II: Exámenes Resueltos 2006-2007-2008.pdf

12 páginas

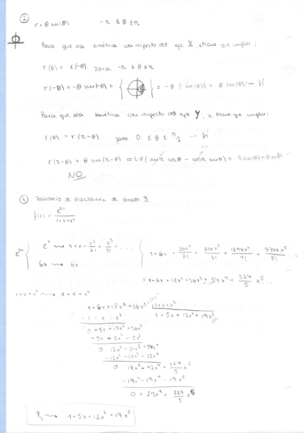
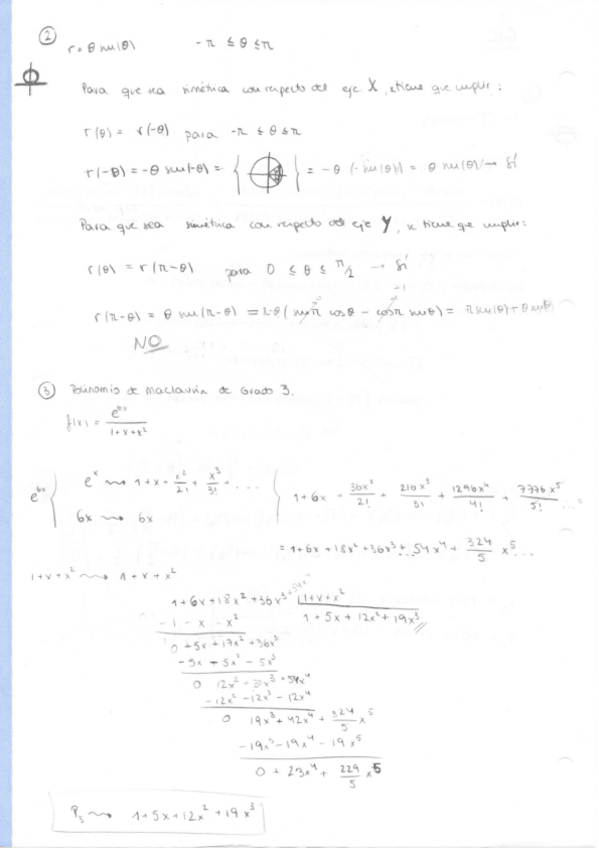
He publicado nuevos apuntes de 1º Matemáticas II: GRÁFICAS EN POLARES.pdf

12 páginas