@rodri_19

66 Publicaciones

1.05k Interacciones

3 Seguidores

3 Siguiendo

Lista de publicaciones de rodri_19

He publicado nuevos apuntes de 1º Economía: TEMA-3-EL-CONCEPTO-DE-ELASTICIDAD.pdf

6 páginas

He publicado nuevos apuntes de 1º Economía: TEMA-2-DEMANDA-OFERTA-Y-EQUILIBRIO-DEL-MERCADO.pdf

4 páginas

He publicado nuevos apuntes de 1º Economía: TEMA-1-PRINCIPALES-ASPECTOS-DE-LA-CIENCIA-ECONOMICA.pdf

2 páginas

He publicado nuevos apuntes de 1º Economía: TEMA-4-COMPORTAMIENTO-ECONOMICO-DE-LAS-FAMILIAS-COMO-DEMANDANTE-DE-BIENES-Y-SERVICIOS..pdf

5 páginas

He publicado nuevos apuntes de 1º Economía: TEMA-5-COMPORTAMIENTO-ECONOMICO-DE-LAS-EMPRESAS-COMO-OFERENTES-DE-BIENES-Y-SERVICIOS.-LA-PRODUCCION..pdf

3 páginas

He publicado nuevos apuntes de 2º Lengua Castellana y Literatura II: EJEMPLOS-DE-SINTAXIS.pdf

6 páginas

He publicado nuevos apuntes de 2º Lengua Castellana y Literatura II: MORFOLOGIA-PALABRAS.pdf

2 páginas

He publicado nuevos apuntes de 2º Lengua Castellana y Literatura II: MORFOLOGIA-SINTAXIS.pdf

7 páginas

He publicado nuevos apuntes de 2º Lengua Castellana y Literatura II: TIPOS-DE-ARGUMENTOS.pdf

1 página

He publicado nuevos apuntes de 2º Lengua Castellana y Literatura II: TIPOS-DE-TEXTOS.pdf

1 página

He publicado nuevos examenes de 2º Lengua Castellana y Literatura II: EXAM-SELECTIVIDAD-LENGUA-2023.pdf

3 páginas

He publicado nuevos examenes de 2º Matemáticas aplicadas a las Ciencias Sociales II: EXAM-SELECTVIDAD-MATES-2023.pdf

3 páginas

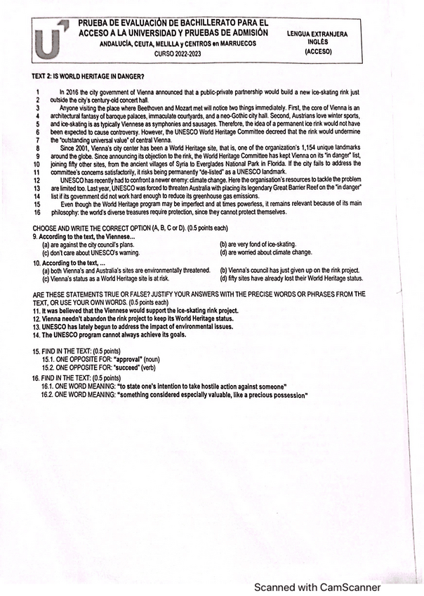
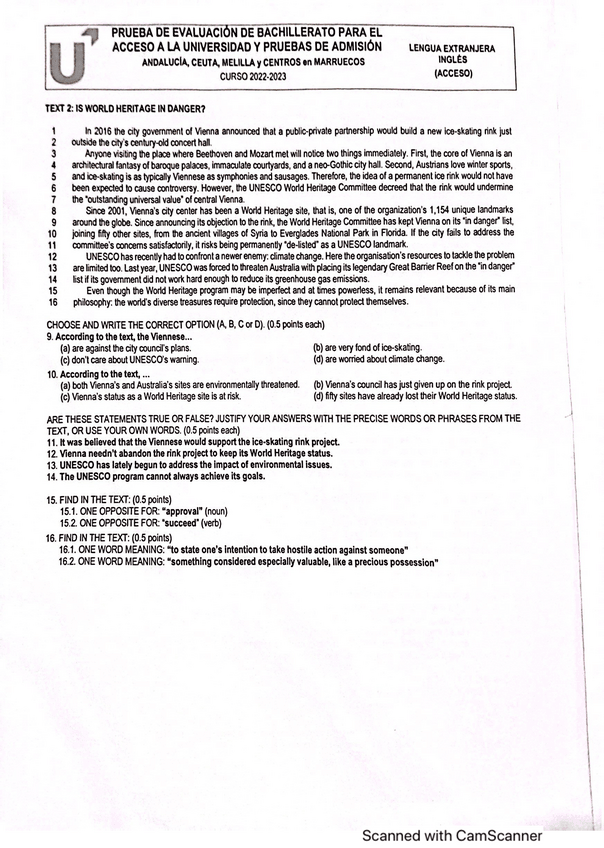
He publicado nuevos examenes de 2º Inglés II: EXAM-INGLES-SELECTIVIDAD-2023.pdf

3 páginas

He publicado nuevos examenes de 2º Economia de la Empresa II: EXAM-SELECTIVIDAD-ECONOMIA-2023.pdf

4 páginas

He publicado nuevos examenes de 2º Historia de España: EXAM-SELECTIVIDAD-HISTORIA-2023.pdf

1 página

He publicado nuevos apuntes de 2º Historia de España: PREGUNTAS-T.5-CRISIS-ANTIGUO-REGIMEN.pdf

2 páginas

He publicado nuevos apuntes de 2º Historia de España: PREGUNTAS-T.2-LA-EDAD-MEDIA.pdf

4 páginas

He publicado nuevos apuntes de 2º Historia de España: PREGUNTAS-T.4-ESPANA-EN-LA-ORBITA-FRANCE.pdf

4 páginas

He publicado nuevos apuntes de 2º Historia de España: PREGUNTAS-T.3-LA-FORMACION-DE-LA-MONARQU.pdf

4 páginas

He publicado nuevos apuntes de 2º Historia de España: PREGUNTAS-T.7A-EL-REGIMEN-DE-LA-RESTAURA.pdf

4 páginas