@Rolando_488297

19 Publicaciones

50 Interacciones

0 Seguidores

0 Siguiendo

Lista de publicaciones de Rolando_488297

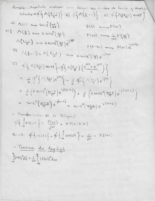
Se describen los sistemas de fase minima, los pasa todos y sobre todo los de fase lineal generalizada.

pdf

Se describe la transformada Z como funcion de los sistemas LTI ademas de realizar una explicacion mediante ejemplos resueltos de como interpretar un diagrama de polos y Ceros. Obtencion de la respuesta de frecuencia aproximada

3 páginas

apuntes

-

Sistemas Lineales y Señales Discretas

Se estudia detalladamente los sistemas discretos en el dominio del tiempo, Clasificaciones, Propiedades, Ecuacion en diferencias, Ejercicios Resueltos, Respuesta al impulso

Clase 1.pdf
Clase 1.1.pdf

Resumidas las propiedades de la transformada de fourier y el producto de convolucion. Ejercicios Resueltos

5 páginas

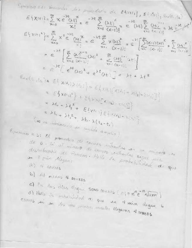
Descripcion de los procesos estocasticos mediante las funciones de autocorrelacion, correlacion y autocovarianza

3 páginas

Resumen completo del proceso de Poisson y ejercicios de ejemplo

3 páginas

Respuesta de frecuencia y Procesamiento discreto de Señales Continuas

5 páginas

Analisis de los sistemas LTI desde el dominio de la frecuencia

5 páginas

Ejercitacion propuesta, ejercicios resueltos sobre sistemas lineales

5 páginas

Se describe la relacion entre un sistema analogico y uno digital, Ejemplo de implementacion discreta de un filtro analogico

4 páginas

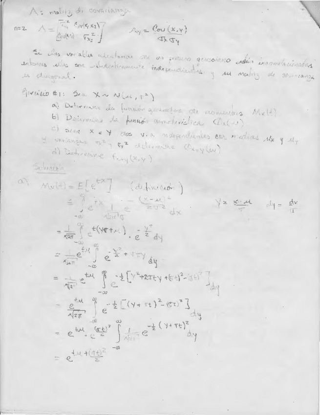
Resumen de las funciones necesarias para el estudio de las variable aleatorias, Distribucion de Probabilidad Acumulada, Densidad de Probabilidad, Valor Esperado y Varianza

4 páginas

Se resuelven ejercicios sobre uso de transformada Z para describir los sistemas LTI

4 páginas

Se Resuelven ejercicios de sistemas discretos desde el plano complejo usando la transformada Z

4 páginas

Sistemas pasa todo, sistemas de fase minima, sistema inverso, Interpolacion y Diezmado explicacion

4 páginas

Descripcion de los Procesos Estocasticos, Estacionarios en sentido amplio autocorrelacion y correlacion cruzada. Propiedades y Ejemplos

3 páginas

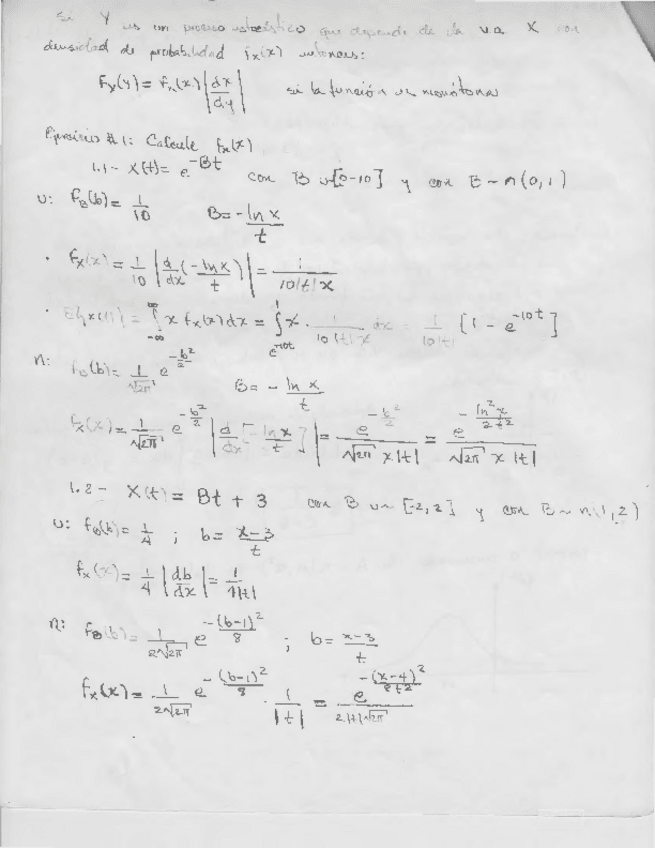
Ejemplo resuelto sobre proceso ergodico, valores esperados y densidades de probabilidad de procesos aleatorios

3 páginas

Se describe en detalle el proceso gaussiano y se resuelven ejercicios de ejemplo

4 páginas

Resumen de las propiedades de las funciones de densidad de probabilidad, probabilidad acumulada Operador de Valor esperado Varianza. Ejercicios Resueltos

4 páginas