@Ron4

112 Publicaciones

2.63k Interacciones

1 Seguidores

0 Siguiendo

Lista de publicaciones de Ron4

He publicado nuevos practicas de 4º Sensores y Procesado de Señal: 5.rar

rar

practicas

-

Práctica 6

He publicado nuevos practicas de 4º Sensores y Procesado de Señal: Práctica 6

memoria.pdf
OSCILLATOR-BASICS_Notes 4V.pdf

He publicado nuevos apuntes de 4º Electromagnetismo Aplicado: Ejercicios elmoa.pdf

59 páginas

He publicado nuevos practicas de 4º Técnicas Experimentales I: memoria definitiva.pdf

7 páginas

He publicado nuevos ejercicios de 2º Métodos Matemáticos II: soluciones_Problemas1-14(1).pdf

1 página

He publicado nuevos apuntes de 3º Electrónica Física: Tema 2.pdf

16 páginas

He publicado nuevos practicas de 3º Óptica: trazadoderayos1.jpg

Imagen

He publicado nuevos ejercicios de 2º Métodos Matemáticos II: soluciones_Problemas15-23.pdf

2 páginas

He publicado nuevos ejercicios de 2º Métodos Matemáticos II: soluciones_Problemas37-46.pdf

8 páginas

He publicado nuevos ejercicios de 2º Métodos Matemáticos II: boletin_Problemas15-23.pdf

1 página

He publicado nuevos apuntes de 3º Física del Estado Sólido: Tema_2_Difraccion_por_solidos.pdf

20 páginas

He publicado nuevos practicas de 2º Electromagnetismo: Excel 9.xlsx

excel

He publicado nuevos practicas de 2º Electromagnetismo: PRÁCTICA 6.pptx

Miniatura no disponible
powerpoint

He publicado nuevos apuntes de 3º Electrónica Física: Tema 1.pdf

27 páginas

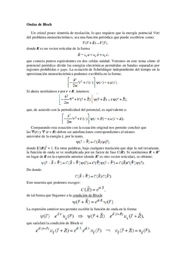
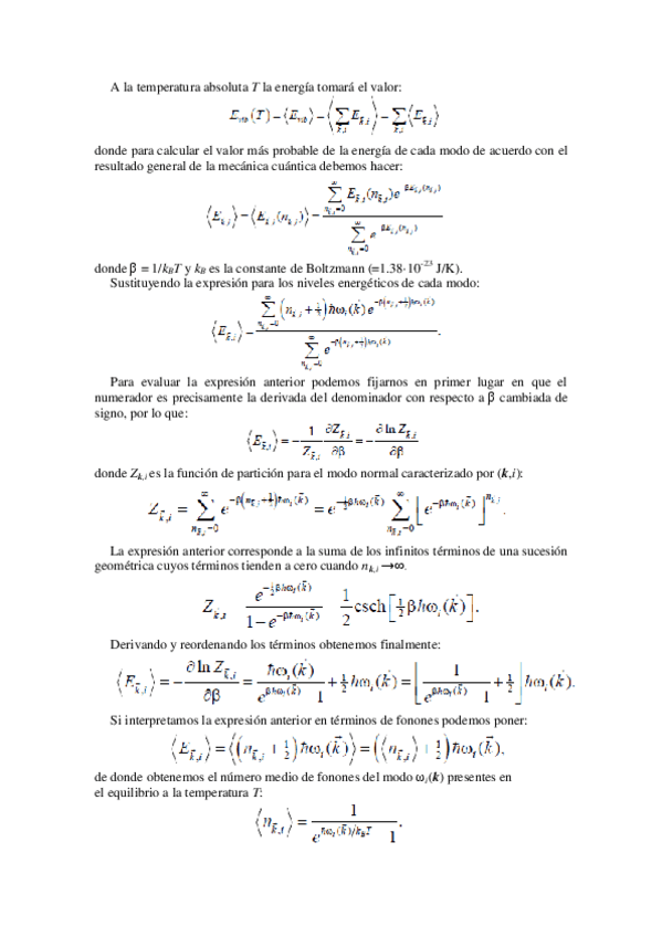
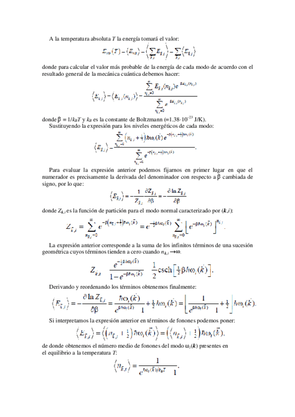
He publicado nuevos apuntes de 3º Física del Estado Sólido: Tema_5_Propiedades_termicas_reticulares.pdf

22 páginas

He publicado nuevos apuntes de 3º Electrónica Física: Tema 1.pdf

27 páginas

He publicado nuevos examenes de 2º Electromagnetismo: primer_parcial_2012.pdf

3 páginas

He publicado nuevos practicas de 4º Técnicas Experimentales II: P4_EDC.xlsx

excel

He publicado nuevos apuntes de 2º Circuitos Eléctricos: Teoría e Instrumentación: Memoria.pdf

18 páginas

He publicado nuevos ejercicios de 2º Métodos Matemáticos II: boletin_Problemas1-14.pdf

3 páginas