@ROXTOR

24 Publicaciones

669 Interacciones

0 Seguidores

3 Siguiendo

Lista de publicaciones de ROXTOR

He publicado nuevos apuntes de 3º Instalaciones Electroneumáticas: ELECTRONEUM.pdf

2 páginas

He publicado nuevos apuntes de 2º Mecánica de Fluidos: T7.pdf

18 páginas

He publicado nuevos ejercicios de 3º Diseño de Máquinas I: PROBLEMA-5.pdf

4 páginas

examenes

-

EXAMENES JUNIO 2018

He publicado nuevos examenes de 2º Sistemas y Procesos de Fabricación: EXAMENES JUNIO 2018

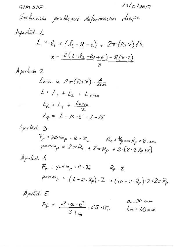
Solucion-Problema-1-Parcial-II.pdf
Solucion-Problema-2-Parcial-II.pdf
Test-A.pdf
Solucion-TEST-SPF-GIM-Parcial-II-JUNIO-2018.pdf
PROBLEMAS.pdf

examenes

-

EXAMENES JUNIO 2019

He publicado nuevos examenes de 2º Sistemas y Procesos de Fabricación: EXAMENES JUNIO 2019

Solucion-Prob-2-parcial-II.pdf
solp1.pdf
Prob-Def-PLast-modA.pdf
SOL-TEST.pdf
Cuestiones-2oParcial-MA.pdf

examenes

-

EXAMENES JUNIO 2020

He publicado nuevos examenes de 2º Sistemas y Procesos de Fabricación: EXAMENES JUNIO 2020

solucionP2.pdf
test-parcial-2.pdf
Parcial-II-Solucion-P1.pdf

examenes

-

EXAMENES JUNIO 2021

He publicado nuevos examenes de 2º Sistemas y Procesos de Fabricación: EXAMENES JUNIO 2021

Test-A.pdf
Problema-2-Rafa.pdf
Problema-1-Solucion.pdf
solucion1.pdf

ejercicios

-

Ejercicios de clase

He publicado nuevos ejercicios de 3º Diseño de Máquinas I: Ejercicios de clase

P5-4SOL.pdf
P5-2.pdf

He publicado nuevos apuntes de 3º Electrónica y Automática: Presentaciones-comentadas.pdf

43 páginas

apuntes

-

APUNTES 3 PARCIAL ELECTRONICA

He añadido las paginas en la que estarian las respuestas

Test-Sensores.pdf